Подготовка к корректировке.


Измерение уровня электролита.
Трубка для измерения уровня электролита.
Перед проверкой плотности электролита и в процессе её корректировки необходимо контролировать уровень электролита в банках аккумулятора. У автомобильных аккумуляторов принято считать нормальным уровень электролита на 10÷15 мм выше верхней кромки пластин (сепараторов).
В батареях с индикатором (тубусом) электролит должен быть на одном уровне с ним или выше его на 5 мм.

Корректирующий электролит — электролит повышенной плотности (обычно 1,40 г/см3) для повышения плотности электролита АКБ или приготовления электролита нормальной плотности для заливки батарей.
Дистиллированная вода.
Добавляется в электролит для уменьшения его плотности.
Важные тонкости
1. В связи с тем что, кислота и вода имеют разную плотность, при разведении электролита или кислоты водой, следует добавлять кислоту в воду, но не наоборот.
2. Обращаться с аккумулятором нужно очень аккуратно. Его ни в коем случае нельзя переворачивать кверху дном. Это может привести к осыпанию пластин и последующему выходу аккумулятора из строя.
Определение необходимого значения плотности электролита полностью заряженного аккумулятора.
Весь период службы аккумулятора плотность электролита непрерывно меняется. Существуют обратимые изменения плотности — это нормальные заряд и разряд аккумулятора. Интервал изменения плотности электролита при изменении состояния аккумулятора от полностью разряженного до полностью заряженного и наоборот обычно составляет 0,15÷0,16 г/см3 для новой АКБ.
Но также существуют и необратимые изменения, например электролиз воды (разложение на водород и кислород) при «кипении» электролита. При этом плотность электролита повышается.
При сульфатации пластин, когда их активная поверхность покрывается слоем нерастворимого сульфата свинца или происходит осыпание активной массы пластин, что уменьшает площадь поверхности пластин, участвующую в электрохимической реакции — восстановление первоначальной плотности электролита в процессе заряда невозможно. Это приводит к необратимому снижению плотности электролита и, соответственно, сужает интервал изменения плотности в диапазоне полный разряд — полный заряд (0,15÷0,16 г/см3 — для нового, исправного аккумулятора).
Стабильно завышенная плотность электролита приводит к снижению срока службы АКБ.
Стабильно заниженная плотность приводит к снижению ЭДС и затруднению пуска двигателя, а также к повышению опасности замерзания электролита в зимний период эксплуатации.
Сначала нужно определиться, какую плотность электролита мы хотим иметь в нашей батарее применительно к климатической зоне её эксплуатации.

На этой таблице представлена температура замерзания электролита.
Например, для центральных районов России (Москва, Казань…) можно выбрать плотность электролита 1,25÷1,27 г/см3. Необходимо помнить, что на автомобиле аккумуляторная батарея, в лучшем случае, может быть заряжена на 80÷90 % её максимальной ёмкости (то есть плотность электролита будет чуть ниже, чем при полном заряде). Именно поэтому плотность электролита, исходя из температуры его замерзания (Таблица), выбирается чуть-чуть повыше, чем необходимо для обеспечения гарантированной незамерзаемости при минимальной температуре воздуха в зимний период.
Полная зарядка батареи.
Необходимо четко усвоить и неукоснительно соблюдать правило:
Проверка плотности электролита, с целью выяснения необходимости её корректировки, производится только у ПОЛНОСТЬЮ ЗАРЯЖЕННОЙ БАТАРЕИ.
Известно, что при исправном генераторном оборудовании автомобиля и его нормальном напряжении 14,0÷14,6 В, можно зарядить АКБ лишь на 80÷90 % её максимальной ёмкости из-за неэффективности процесса заряда батареи на автомобиле.
При выборе зарядного устройства следует избегать применения «автоматических зарядных устройств» без предварительного подробного ознакомления с логикой работы его автоматики. Во многих из них автоматическое выключение режима заряда производится просто при достижении напряжения на выводах батареи величины 14,5÷14,6 В, а это не всегда обеспечивает полный заряд АКБ.
Признаком ПОЛНОГО заряда аккумулятора является постоянство величины плотности электролита и напряжения на его выводах при продолжающемся заряде в течение 2 часов.
При достижении условий полного заряда батареи, то есть постоянства напряжения на выводах и плотности электролита в течение двух часов при продолжающемся заряде, его прекращают и выдерживают батарею от 30 минут до двух часов в отключенном состоянии.
Выдержку в отключенном состоянии в течение от получаса до двух часов рекомендуется выполнять после заряда (разряда), заливки (корректировки плотности) электролита, корректировки уровня электролита. Это делается для выравнивания плотности электролита в объёме банок, снижения температуры электролита, выхода пузырьков газов, образовавшихся при «кипении». В противном случае возможно возникновение недопустимых погрешностей в измерении плотности и уровня электролита, а также напряжения на выводах АКБ.
Затем измеряется уровень электролита и его плотность в каждой банке. Если замечена значительная разница в плотности электролита между банками (более 0,01 г/см3), следует попытаться провести дополнительную, так называемую выравнивающую зарядку АКБ для выравнивания плотности между банками, при этом ток заряда можно уменьшить в 2÷3 раза по сравнению с номинальным, для уменьшения газообразования («кипения»).
Если дополнительный заряд в течение нескольких часов не приводит к выравниванию плотности электролита в банках, очевидно, требуется выровнять её путем последующей корректировки.
В заключение этого этапа работы составляется табличка с указанием плотности и уровня электролита в каждой банке. Принимается решение, какие действия производить над каждой конкретной банкой. Основанием является соотношение величины плотности электролита, принятой нами за оптимальный вариант для нашей климатической зоны, и реальной, измеренной после полного зарядааккумулятора.
Корректировка плотности электролита.
Суть корректировки плотности электролита в банке аккумулятора заключается в следующем:
а) из банки забирается некоторый объём электролита;
б) вместо него в банку добавляется тот-же объём либо дистиллированной воды (плотность 1,00 г/см3) — для понижения плотности электролита в банке, либо корректирующего электролита (обычно плотностью 1,40 г/см3) — для повышения плотности;
в) батарея включается на 30 минут на заряд номинальным током для лучшего перемешивания электролита в результате газовыделения;
г) батарея отключается от зарядного устройства и выдерживается 0,5÷2 часа для выравнивания плотности электролита в объёме банок;
д) измеряется плотность электролита в каждой банке и его уровень, оба параметра приводятся в норму. То есть, при необходимости, все операции а)÷д) повторяются.
Приведу таблица, в которой указано, «…сколько вешать в граммах», то есть указано конкретное количество в см3 удаляемого электролита и соответствующее количество доливаемой жидкости (дистиллированная вода или корректирующий электролит — в зависимости от направления изменения плотности).
Объёмы жидкостей указаны для корректировки 1 литра электролита (1000 см3). Таким образом, чтобы провести коррекцию конкретной батареи нам необходимо знать объём электролита в одной банке этой батареи в литрах. Полученные из таблицы значения необходимо умножить на объем электролита в литрах в одной банке корректируемой батареи.
Объём электролита в одной банке:
6СТ-45 — 500 см3;
6СТ-55 — 633 см3.

Примерные нормы в см3 корректировки плотности электролита в объеме 1 литра.
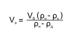
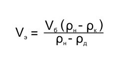
Таблица предусматривает использование корректирующего электролита плотностью только 1,40 г/см3. Ниже приведена формула, при использовании которой можно применять корректирующий электролит с плотностью, отличной от 1,40 г/см3.
где
Vэ — объём удаляемого из банки электролита, см3,
Vб — объём электролита в одной банке, см3,
для некоторых типов аккумуляторов объём электролита в одной банке указан чуть выше по тексту,
ρн — начальная плотность электролита до корректировки, г/см3,
ρк — конечная плотность, которую надо получить, г/см3,
ρд — плотность доливаемой жидкости, (вода — 1,00 г/см3 или корректирующий электролит — * г/см3)
Следует учесть, что при использовании данной формулы объёмы удаляемого и добавляемого электролитов равны.
Если с таблицей разобраться сложно! То можно сделать прощё :
Откачайте большую часть жидкости из одной из банок. Эту операцию удобно выполнять с помощью “груши”. Замерьте выкачанный объем и долейте примерно половину от этого объема электролитом. Аккуратно покачайте аккумулятор в разные стороны, затем замерьте плотность снова. Если плотность не достигла требуемого значения, долейте еще ¼ от выкачанного ранее объема электролитом. Таким образом, следует доливать электролит, каждый раз уменьшая его количество в два раза.
Комментарии 138
Всем привет! Подскажите, обычный свинцово-кислотный аккум Тюмень, практически новый, был перевернут и из него вытек частично электролит. Были далеко от дома и долили воды дистиллированной и обычной, так как первой не оказалось в достаточном количестве. Сейчас в половине банок плотность порядка 1,2, в оставшейся половине чуть выше 1, так как доливали простую воду. Зарядное устройство его не заряжает. От него аккум "кипит". Что посоветуете сделать? Так как аккум новый, думаю, слить все с него и залить обычный электролит 1,27-1,28 и зарядить.
Просто слить/долить не удастся восстановить всё до нормы так как в порах намазки всё равно уже есть электролит, который впитался с завода. Можно только попробовать как вариант всё слить. Залить дистиллированной водой и поставить на зарядку малым током где то 1/20 от ёмкости, это может быть и несколько суток. Когда ареометр начнёт показывать, что в АКБ появился электролит, т.е. он кислота вышла из пор и начала растворятся в дисциляте, тогда уже можно слить всё по новой насухо и долить электролит нормальной плотности и зарядить АКБ. Но надо всё равно хороший зарядник, не китайский подзаряд, а там где можно контролировать ток и напряжение в реале. После 100% заряда можно поиграть с плотностью, если она окажется высокой, а скорее всего будет низкой.
Все переписывают старые инструкции, 20-летней давности. Современные "кальциевые" аккумуляторы ведут себя по другому: ПОСЛЕ зарядки, даже на полностью заряженном аккумуляторе плотность будет небольшой, как вот люди и пишут, в районе 1.2. Говорят, это связано с так называемым расслоением электролита, когда между пластин одна плотность, а сверху — другая. Нужно ждать сутки, а то и больше; через двое плотность точно выровняется и можно её проверять, а лучше — поставить на машину, поездить и измерить.
Брехня))) Современный кальциевый всё также при полной зарядке показывает 1,27-1,30 плотность, что и определяет его заряд на 100%. Поэтому всегда надо брать акб с пробками и не вестись на маркетинг. Расслоение оно конечно будет, а ждут сутки или более потому как пластины сейчас упаковываются в очень плотные "кошельки" или даже если их нет, то расстояние между диэлектрическим пластинами, намазкой такие маленькие, что пузырькам воздуха подняться наверх сильно сложно и долго, вот для этого и надо время.
Народ подскажите, аккуму 6 лет, плотность электролита при полном заряде 1,22. Как повысить плотность до нормы в 1,27, доливать корректирующий электролит или заряжать до бесконечности?
Заряжать нормальными зарядными устройствами у которых есть импульсный заряд и возможность подавать напряжение до 18В. Если зарядник выдаёт 14-15В, то таким плотность и не поднять, мелкие сульфаты не растворить. Поэтому обычным зарядником можете заряжать хоть до посинения, всё равно результата не будет.
А кто нибудь проверял плотность электролита в новой батарейке?
Я проверял, 1.25. Зарядил по полной, все равно 1.25.
Кипятить новую батарейку, или долить концентрата кислоты, чтобы сделать 1.27?
Новый акб всегда надо заряжать если не хотите емкость потерять, т.к. с завода он недоформатированый . Плотность ваша так то маловата, если вы не в жаркой стране живете. А так надо узнавать у производителя какой электролит плотности он льёт и заряжать правильным зарядником до этой плотности. Неважно старый он или новый.
Я в курсе. Вылили электролит и залил новый. Зарядил, и теперь все в порядке.
При полной зарядке измеряете плотность, если ниже чем вам надо, отбираете часть из каждой банки, и столько же добавляете корректирующего электролита, ставите на режим техобслуживания и заряжаете пока само З/У не переведётся в режим автомат. Держите до полного заряда. Потом снова измеряйте плотность. Дайте отдохнуть аккумулятору день, другой. И снова проверьте заряд и плотность. При необходимости снова повторить процедуру.
У автора реально ошибки по температуре замерзания второй столбец, от балды таблица
Акум на 62, медведь
На 130А
Гена без нагрузки 13,8 под полной 13,65
Акуму 4года
1,28 хочу
Гуру помогайте
Тренировка 1 цикл, была плотность 1,2 до, плотность после — 1,2. В атомате при зарядке около двух суток первый раз напряжение плавно росло до 14,7 ток падал с 6 до 0,25. Второй раз примерно также. Разряжал 5А до 10,6В и сразу на зарядку. Что делать? Уровень в норме ничего ни доливал ещё.
Дружище, у тебя первая же таблица содержит ошибки!
Так каков правильный уровень электролита в банках?
35-40 мм над пластинами. Объем должен соблюдаться под высчитанный электрохимический эквивалент.
Электролит заливают в новый Акб, если он не залит был, а в б/у только вода и поднимается плотность только зарядом(сутки 2-3, можно не подряд, а с перерывами)
Вот так и размораживают АКБ доливая только воду
Если залить просто воды, то возможно и размораживают .а если долить дистиллированной воды и зарядить (растворить сульфат, хоть и пишут что он не растворяемый ), то будет всё норм .ведь при зарядке плотность поднимается, а если не поднимается, значит не зарядили (остался лишний сульфат )
Если аккумулятор дошел до состояния, что его плотность не привести к нормальной полным зарядом, то добавив туда кислоту (электролит) его можно будет только добить. Остальное все чушь собачья.
А что делать, если во время заряда доли по 50мл воды и теперь плотность выше 1,25 не поднимается?
Только корректировать плотность.
Доливать электролит нельзя, если уровень ниже нормы. Тогда конечно только воду доливать. Но если воду перелил, то нужной плотности зарядом не добиться…
Что делать? Руки шаловливые не запускать туда, в чем не соображает голова.
Корректировка плотности допускается, в любую сторону но только на заряженном АКБ. И это не нанесет никакого вреда АКБ.
Весело с вами. Занимайтесь алхимией дальше, нормальные люди просто обслуживают АКБ, а корректируют вот именно что полностью заряженные в сторону уменшения плотности для регионов с мягкими зимами. И делается это замещением электролита водой. А вбухивание электролита для поднятия плотности удел обиженных извилинами.
Geldor
Корректировка плотности допускается, в любую сторону но только на заряженном АКБ. И это не нанесет никакого вреда АКБ.
"допускается … но только на заряженном АКБ"
Так-то да. Но куда плотность могла уйти, если при нормальной вентиляции выкипают только кислород и водород?
Если батарейка "заряжена" (по показаниям зарядника, это один сплошной, огромный НЮАНС), но плотность не вернулась — 99% эта недосдача в виде сульфатной корки небольшой висит на пластинах. Если теперь кислоты плюхнуть — она еще быстрее будет расти ((
Поэтому "по правилу пальца" все и говорят, что концетрацию нельзя извне добвалять. Вам просто зарядник врет, скорее всего.
Так сульфатную корку сначала нужно "разбить". Для этого плотность понижают водой еще больше. И в конце десульфатации плотность может быть все еще низкой. Поэтому и добавляют корректирующий электролит.
Но это, конечно, довольно редко происходит.
Добрый день. Можете подсказать, это нормальное состояние пластин ? Сами пластины в роде как не в налете. А вот прокладки между ними в каком то белом налете. На сколько я понял сульфат образуется на пластинах ?
Эти "прокладки" — мешок конверта-сепаратора. На нем не может сульфат выпадать; это возможно бумага! Поищите на ютюбе, видел об этом упоминания.
Это какая фирма? По-моему, плюсовые пластины (светло-серые) должны быть в конвертах. А здесь — наоборот; видны ребра на конвертах (вертикальные). Это какая-то дичь, я бы больше не брал этого производителя.
timon2005
Добрый день. Можете подсказать, это нормальное состояние пластин ? Сами пластины в роде как не в налете. А вот прокладки между ними в каком то белом налете. На сколько я понял сульфат образуется на пластинах ?
Я сам уже запутался…
Пишут, что положительные — бурые; и они должны лежать в конверте. А у конверта вроде ребра — внутрь; т.е. в сторону бурой пластины должны смотреть. Т.е. на фото — все правильно.
Формула расчёта.
Спасибо, все по полочкам!
Где формула, Билли?
А у меня ситуация немного другая …
До определенного момента у меня не было ни ареометра, ни рефлектометра. была в наличии только зарядка, которая могла заряжать как в автомате, так и в ручном режиме.
Была куплена машина с двумя аккумами… Оба обслуживаемые.
После покупки рефрактометра решил замерить плотность и состояние аккумуляторов и получил, что во всех банках аккумов плотность 1.28 при этом состояние аккума на 50% снижены пусковые токи и показывет, что остаточная емкость 53% от заводской.
В итоге сначала поставил заряжать в автомате, плотность везде поднялась до 1.3. Откачал по 40 мл электролита из каждой банки и залил в каждую по 40 мл дистиллированной воды и поставил заряжать малым током (0,5А) 6 часов заряжаю и плотность поднимается до 1.29. Снова откачал, но уже 20мл электролита и залил воду и снова на зарядку малым током…
После основного заряда и первого дозаряда с разбавлением, ток холодной прокрутки поднялся на 100А.
Сейчас провожу уже 3 цикл зарядки малым током …
Машина обслуживалась у дилера … и есть предположение, что этот дилер для поднятия емкости просто доливал электролит, поднимая плотность и уровень.
А сейчас малым током я этот лишний электролит пытаюсь снять сульфатом заряжая малым током …
Огонь, все по науке!
Такая "другая ситуация" должна быть как раз типовой.
К дилеру ездить на обслуживание — только добро портить. Ленивые жуки.
"на 50% снижены пусковые токи" — это чем меряли, экспресс-тестером китайским? Я до сих пор не понял, можно ли им верить. Они же небольшое потребление моделируют и на основании этого экстраполяцию делают. У меня старый есть аккум полумертвый, летом в качестве запасного использую; тестер на нем то 50% здоровья рисует, то 80%. А он нагрузку реальную пару секунд всего держит.
У меня есть и Китайский тестр KONWEY KW650 и специализированный (модель не помню.) Принцип у них один — небольшое потребление моделируют и на основании этого экстраполяцию делают.
Показания отличались очень незначительно.
А профессиональные тестеры аккумуляторов — недоступны даже для компаний (стоимость под 0,5 млн и больше), которые зарабатывают аккумуляторами… зачастую пользуются нагрузочными вилками…
И где формула?
Приветствую Андрей! Вопрос, заряжал АКБ, одна банка не кипит, редко калыхается когда остальные кипят.И еще может сумеешь помочь.:::Мистика! Недавно был у ОД, спорил кричал и ниччего не добившись уехал.Сегодня сам решил все сделать -проверить.И тек начали::доехал до дому заглушил, вышел, сперва прибор показал 1,3 ампер, через 3-4 минуты щелчок и ток упал до 0,33 а, затем дважды проверял роввно через 14 минут ток упал до о ампер.Это без включенной штатной сигнализации, а со включенной сигнализацией авто уходит в сон через две минуты, как я и сделал, но все ровно АКБ через три дня разрядился, ППочему, если ток утечки о. я ЕЩЕ ОБРАТИЛ ВНИМАНИЕ НА ОДНО ИНТЕРЕСНОЕ ДЕЛО, РАНЬШЕ ОТКЛЮЧАЕШЬ акб И ВСЕ НАСТРОЙКИ МАГНИТОЛЫ СБИВАЮТСЯ, А ЩАС ВООБЩЕ НЕ СБИВАЕТСЯ ДАЖЕ РАДИО, ЗНАЧИТ МАГНИТОЛА ЧЕМ ТО ПИТАЕТСЯ КОГДА ВРОДЕ ВСЕ ОТКЛЮЧЕНО, А КАК ЭТО ПРОВЕРИТЬ ЕСЛИМУЬТИМЕТР ПОКАЗЫВАЕТ 0 АМПЕР?
Замкнутая банка.
Не губите свой АКБ.
Единственный способ продлить его жизнь и восстановить его емкость — зарядить. Методов восстановления достаточно много. Сейчас ради интереса восстанавливаю АКБ коллеги по работе — тесть скорректировал плотность. Восстанавливаю, в большей степени, ради эксперимента. На момент старта плотность была 1,3. Восстанавливаю методом малых токов (1\100С). Сделал два цикла заряд-разряд. Дважды частично откачивал электролит и доливал воду. После двух циклов плотность 1,29, что много. Ранее корректировал до 1,27. Откуда плотность? Все просто — происходит десульфатация и помимо роста плотности за счет растворения сульфата свинца еще происходит увеличение емкости. Иду на третий заход, а это еще 5 суток. Благо у коллеги есть подменка. Суть моего поста не в призыве тратить месяц на восстановление АКБ, а предупреждение не гробить батарею своими руками!
Ну и шшштоттты мил человек пишшшыш? Корректировка электролита — это НОРМАЛЬНЫЙ сервисный процесс. ДА — не стоит сразу херачить корректирующий электролит, а стоит его заряжать малыми токами длительное время. НО! Если после нескольких правильных цикловс контролем температуры не более +45с градусов АКБ(если выше — отключить, подождать минимум до +35, а лучше ниже и снова включить зарядку), когда правильная плотность уже не поднимается(в сравнении с другими банками), не нужно мучать жопу(читай — пластины), поскольку длительный перезаряд вылезет отваливанием\повреждением пластин. Это будет видно по серому цвету электролита в банке. В даном случае — ТОЛЬКО корректировка электролитом(концентратом). Это касается кальциевых АКБ в первую очередь.
Корректировка электролита это НОРМАЛЬНЫЙ сервисный процесс? Видимо поэтому стали производить малообслуживаемые, а затем и вовсе необслуживаемые АКБ. Причем уже, заметьте, достаточно давно.
Куда ушла плотность электролита в АКБ? В сульфат свинца на пластинах и это абсолютно нормально. При заряде сульфат снова растворится и плотность опять возрастет. Это нормальный процесс для любого АКБ. Если плотность в одной или нескольких банках не достигает нормы это говорит о том, что не весь сульфат растворился при заряде, а следовательно емкость в этих банках будет ниже чем в остальных. И это вполне объяснимо. Происходит это по разным причинам в т.ч. и из-за технологических особенностей сваривания банок и клемм, расположения АКБ относительно мотора и т.д. Для устранения последствий этого и производят БАЛАНСИРОВОЧНОЕ выравнивание плотности. При длительном заряде малыми токами 1\100 от емкости, через некоторое время (зависит от степени разряда и емкости) ток начнет падать и со временем достигнет до уровня 50-200 МИЛЛИАМПЕР (зависит от состояния батареи и величины САМОРАЗРЯДА в банках). Чем меньше значение тока тем лучше состояние АКБ. Плотность в отстающих банках при этом значительно вырастет. При таком способе заряда разговора о возможном ПЕРЕЗАРЯДЕ и нагреве, а уж тем более о помутнении электролита не может быть и речи. Емкость АКБ зависит от суммарной площади пластин. Так как сульфат свинца плохо проводит ток, то в отстающих банках емкость будет ЗАВЕДОМО ниже из-за уменьшения площади активной массы пластин. Ну добавите вы туда кислоты и что? Площадь и емкость увеличатся? НЕТ! Тогда в чем польза? А пользы никакой нет! Есть только вред т.к. проблемные банки будут еще быстрее сульфатироваться со всеми вытекающими проблемами.
А если АКБ при заряде начальным током в пол-ампера греется и мутнеет электролит, то не нужно мучиться с ним — АКБ в утиль.
Конечно нормальный.
Потому что испарение ВОДЫ из электролита — это совершенно НОРМАЛЬНЫЙ процесс. Собственно все производители АКБ именно с этим и борются на равне с деградирующей сульфатацией. А "необслуживаемые" АКБ — не что иное как только бизнесс. Потому что "обслуживаемые" при соответствующем обслуживании (контроль и сервис каждые 6 мес+полный заряд хотя бы 1 раз в месяц) живут заведомо ДОЛЬШЕ чем "необслуживаемые".
Собственно, начальные стадии деградирующей сульфатации лечатся "интеллектуальным" зарядным — чередование постоянного и импульсного тока. Благодаря чему как ты выше и написал — "малым постоянным током" + импульсным высоким и производится восстановление АКБ, т.е — восстановление его ёмкости посредством "агрессивного" растворения сульфатов.
Ну а собственно, "балансировка" как раз и достигается доливом дистиллированной воды и доведением каждой банки до нормальной плотности посредством циклов заряда\разряда — обычно от 1,27 до 1,29 ед.
И про мутный электролит — тоже всё верно. По сути, АКБ с мутным электролитом — это мусор(потому что присутствовал перегрев АКБ). Но если кому-то хочется поиграть в промывание и заливание свежего — флаг в руки. Но в 99% случаев это — в последний путь.
Если же циклическим заряд\разрядом и коррекцией электролита плотность не удаётся восстановить — так же однозначно в мусор.
С каждым АКБ — индивидуальная песня. Но в любом случае, при доливе готового электролита или концентрата в восстанавливаемую АКБ — это скорее всего труп.
Всё зависит от фактического состояния пластин, т.е — от их засульфатированнности, как ты выше и написал.
Собственно в этом и проблема — если из электролита испаряется вода, ускоряется сульфатация и деградация пластин. Именно поэтому производители рекомендуют минимум раз в 6 мес контроль и обслуживание АКБ
Я бы не стал так категорично говорить про процесс ИСПАРЕНИЯ воды из АКБ. После достижения напряжения на батарее примерно 14,2 В начинается процесс электролиза, т.е. вода разлагается на кислород и водород. В народе это ошибочно принято называть кипением электролита. У современных Са, Са+, Са\Са и т.д. АКБ электролиз начинается при более высоком напряжении (напряжение окончания ОСНОВНОГО заряда некоторые производители устанавливают до 14,6 В) и соответственно "выкипание" электролита уменьшается. Но поскольку этот процесс хоть не столь активен, но все же присутствует, производители придумали хитрые каналы и хитрые пробки которые позволяют конденсировать влагу и возвращать ее в АКБ. Так что дело не только в маркетинге, но и в технологическом прогрессе. А заряжать АКБ один раз в месяц это сегодня полный анахронизм. Кто сегодня умеет это правильно делать? А у кого есть условия где это можно делать? А при морозе батарею нужно снимать и для начала согревать, а уж потом заряжать. А на всяком ли автомобиле можно безболезненно снимать АКБ? И даже если и можно, то потом придется как минимум восстанавливать настройки бортача. Многие это знают? Уверен, что это подавляющее меньшинство. Так кому это выгодно — производителю или потребителю? Вывод очевиден — и тем и другим. Времена когда машин были единицы и практически у каждого был гараж уже прошли и никогда не вернуться.
На счет "интеллектуальных" зарядок можно поспорить. Если у пользователя знаний ноль и условий ноль, то никакая зарядка не поможет. Хоть Кулон, хоть Бережок, хоть ЗУС .
Суть балансировки не скорректировать плотность электролита в каждой банке путем доливки кислоты, а в приведении банок примерно в одинаковое состояние по внутреннему сопротивлению. А достичь этого путем долива кислоты не возможно, тут только зарядом. Из за разбаланса этого самого сопротивления через банки течет разный ток как при заряде так и при разряде. При чем как известно чем хуже банка — тем больше сопротивление. Причем самая плохая банка будет задавать работу всей АКБ. Длительный заряд малым током абсолютно безболезнен (не вызывает перезаряда, т.к. заряд происходит при стабилизированном и ограниченном напряжении) для нормальных банок, а разряженные в то же время медленно, но заряжает. При этом сопротивление падает, плотность растет, а площадь пластин в банке увеличивается ну и емкость понятное дело тоже.
Ну и напоследок. Сам езжу очень мало примерно тысяч до 10-и в год и что самое плохое в основном очень короткие пробеги — 2-3 км. Поэтому тема мне знакома. Заряжаю АКБ раз в 3-6 месяцев.
Человек Хороший, причом здесь КИСЛОТА? Я НАСТОЯТЕЛЬНО рекомендую и использую ДИСТИЛИРОВАННУЮ ВОДУ для долива, так как в электролите только она и уходит. А электролит или его концентрат для долива
— это почти однозначно последний путь. И собственно — ДА, именно для этого и присутствуют каналы для возврата влаги, как и КЛАПАНА которые её сбрасывают вместе с излишком давления.
90% "уставших" АКБ любого типа это — дефицит испарённой воды из электролита.
И именно из-за коротких городских пробегов для продления жизни АКБ необходимо хотябы раз в 1 месяц ставить на заряд малым током, в идеале на интеллектуальную зарядку с импульсно-постоянным током. И ОСОБЕНННО — в зимний период. Потому что батарейка не успевает полностью восстановиться за городские пробеги.
А про выравнивание плотности в кислотных АКБ, Калллега — ты не прафф. Потому что именно коррекцией электролита дистиллированной водой и циклами заряд\разряда и восстанавливается работоспособность и поддерживается рабочее состояние АКБ.
Собственнно, теории можно расчёсывать любые, но практика вещь упрямая — если не пошла деградация пластин и чистый электролит, всё поправимо. 100% батарейки конечно же не восстановится, но большую часть ёмкости можно восстановить в зависимости от состояния каждой отдельно взятой батарейки.
Ну а то что не у всех руки не из жопы или есть возможность это делать — это уже проблемы индейцев. Не хочешь поддерживать батарейку в идеальном состоянии — плати чаще, покупай больше. Именно для таких и существуют "необслуживаемые" батарейки. )))))
Зы.: К слову, буквально недавно знакомый (в прошлом — аккумуляторщик) купил новую батарейку взамен старой — Westa 6CT-74A.
Так вот, та старая (тоже Westa 6CT-74A) — отходила почти 10 лет (стояла на VW T4 2.5). И собственно, он за ней регулярно следил и контрольные ТО проводил раз в 6 мес. На зарядку ставил раз в 3-4 месяца поскольку у него частые достаточно большие пробеги в трассе.
Причём он её восстанавливал(естественнно, коррекцией доливом дистиллированной воды и циклами заряд\разряда) один раз после 3х лет эксплуатации — даже в неё не заглядывал. Тупо от лени. А дальше — просто поддерживал в надлежащем состоянии.
Как итог — сэкономил как минимум, на покупке 2х АКБ. Не ахти какой бабос, но зачем лишний раз переплачивать если можно на эти деньги купить шоколадки и мороженое или заправить пару раз бак? ;)
Зы2.: Ииии… Да! На закуску — www.westa.com.ua/cms/garanties.html
Мануал и гарантийка от достаточно серъёзного производителя — ОЕМ экспортёра АКБ в Европу.
"3.5 По достижению полного заряда следует проверить уровень и плотность электролита. При необходимости плотность электролита откорректировать в соответствии со значениями, приведенными в пункте 1.2. При этом значения плотности в аккумуляторах батареи должны отличаться не более чем на 0,01 г/см3. Повышенная плотность корректируется доливкой дистиллированной воды."
А кислота при том, что тема изначально посвящена доливке не воды, а кислоты! И по поводу доливки электролита — той самой КИСЛОТЫ, я свое мнение уже озвучил. Инструкция на Весту никак не противоречит тому что было сказано мною ранее. …Раздел 3, пункт 3.1 Примечание: При эксплуатации новой батареи РЕКОМЕНДУЕТСЯ первую проверку уровня и плотности электролита провести после 100 км пробега с начала эксплуатации, т.к. не исключено, что после заряда батареи на заводе в карманных сепараторах остались пузырьки газа. Под воздействием вибрации, во время движения транспортного средства, газ выходит из карманных сепараторов через вентиляционные отверстия батареи и улетучивается в атмосферу. Вследствие этого уровень электролита в батарее может существенно понизиться.
Если при контроле стеклянной трубкой окажется, что в одном из аккумуляторов (одной из ячеек), или во всех, уровень электролита ниже нормы, а плотность электролита соответствует норме, то необходимо долить электролит до нормального уровня, указанного в 4.6, при этом плотность электролита должна быть равной эксплуатационной, т.е. замеренной…
Обрати внимание на названия раздела №3 инструкции — ПОДГОТОВКА БАТАРЕИ К ИСПОЛЬЗОВАНИЮ. Это разовая (РАЗОВАЯ!) корректировка на этапе подготовки и производитель указал по какой причине это МОЖЕТ произойти и как устранить дефект. А теперь читаем раздел 4. ИСПОЛЬЗОВАНИЕ И ТЕХНИЧЕСКОЕ ОБСЛУЖИВАНИЕ БАТАРЕИ. Пункт 4.6 …Доливка электролита не допускается, кроме случаев, описанных в 3.1. Операцию доливки дистиллированной воды следует проводить после полной зарядки батареи по следующей схеме…
ВОТ ЭТИМ ВСЕ СКАЗАНО.
И еще. Эта инструкция — субъективное мнение конкретного производителя. В былые времена ОРИГИНАЛЬНЫЕ АКБ Мерседес-Бенц шли сухозаряженные с комплектом из шести бутылочек электролита. Причем объем электролита в каждой был под эту конкретную батарею. Батарея просто заливалась электролитом. Одна банка — одна бутылка, ставилась на пару часов отстоя для пропитывания сепараторов и все. Никаких проверок уровней, плотностей и напряжений.
Еще раз повторю — доливка электролита это абсолютная глупость и вред для АКБ. Серная кислота в батарее с низкой плотностью, вернее сказать все составляющие для ее получения, есть ВСЕГДА только в другой химической форме — в виде сульфата свинца и воды. Задача не поднять плотность электролита до номинала путем доливки кислоты, а растворение сульфата свинца в воде. Растворим сульфат — решим все проблемы; и плотность повысим и внутренне сопротивление понизим и площадь активной массы (читай емкость АКБ) увеличим. Каким способом это будет сделано — малым длительным током, импульсным током, пилой это не важно.
За сим все. Затянувшуюся дискуссию прекращаю. Удачи!
Бомбит тя знатно, ТоварищьчЬ! )))))
1. Изначально тема — "Корректировка плотности электролита Аккумулятора…". А каким это образом будет сделано — да жопы, лиш бы было эффективно.
2. По поводу "ВОТ ЭТИМ ВСЕ СКАЗАНО" — "3.2 В случае, если конструкцией батареи предусмотрена установка индикатора заряженности батареи и уровня электролита, следует руководствоваться надписями на этикетке с учетом следующих пояснений:
******
— КРАСНЫЙ С БЕЛЫМ КРУЖКОМ В ЦЕНТРЕ «Долить дистиллированную воду» — уровень электролита ниже нормы. Долить дистиллированную воду."
Надеюсь, ты не считаешь, что производитель специально для 1 случая(первичной доливки) разрабатывал систему индикации? )))))
3. "3.5 По достижению полного заряда следует проверить уровень и плотность электролита. При необходимости плотность электролита откорректировать в соответствии со значениями, приведенными в пункте 1.2"
И ключевое(!) здесь — "ПРИ НЕОБХОДИМОСТИ". ;) ;) ;)
4. "И еще. Эта инструкция — субъективное мнение конкретного производителя"…
ЧелавеГ Харошый… Эта инструкция — это десятки лет работы учёных и НЕдоморощенных специалистов своей области, которые ПРОИЗВОДЯТ АКБ в промышленных(!) масштабах.
Я канешш понимаю что ты уже закопался достаточно глубоко в безсмысленном наборе слов и теорий и пытаешся спрыгнуть с темы, но увы и аххх… Не смотря на некое здравое зерно в твоей писанине — даже с доливом электролита ты не праффф. Потому что в НЕКОТОРЫХ случаях эта процедура также предусмотрена для некоторых(!) АКБ.
Просто не нужно людям причёсывать тезисы, которых не можешь подтвердить документально. Для каждого отдельно взятого случая — своя процедура и свой метод. Равно как на тракторе не будешь гонять по хайвею и спорткаром по бездорожью — в каждом отдельно взятом случае свой метод и своя процедура. Всё зависит от цели, которую необходимо достичь и стоимости её достижения.
Спасибо. Добавил в закладки, буду повышать плотность э.та. Сейчас поставил аккум на выравнивание зарядки, в 6й банке 1.25 в остальных 1.26.
Нну… там прост после каждого заряда нужно записывать в табличку значение каждой банки и шприцом в нужные банки дозировано доливать дистиллировку(в пределах 1-2 см над пластинами).
Так же, если уже некуда доливать в пределах уровня — переливаю из банки с высокой плотностью в банку с низкой плотностью и наоборот. Благодаря чему не повышается объём но выравнивается плотность.
Я например рисую табличку на 6 банок и по каждому циклу записываю плотность перед разрядом и доливом дистиллировки, а так же время и дату начала и конца заряда. Прям за неделю, иногда две — целый матрас записей получается. :)
Серьёзный подход к делу. :)
У меня короткие пробеги длительные простои и аккум ясное дело разряжается где-то раз в 3-6 мес приходилось заряжать. Но с приходом холодов интервал уменьшился "гена" выдаёт когда 13,4 когда 14,0 V. Наверное умирает реле регулятор, новое стоит больше 2 кило рублей жаба душит, но наверное придется менять. Но решил начать с проверки аккума, померил плотность 1,30-1,31. Уровень в норме. Прочитав статью решил долить воды, а нужно ли удалять часть электролита?
Уважаемый, подскажите, пожалуйста, при температуре окружающей среды +17… какая должна быть плотность в банках 100% заряда (с учетом температуры)?
Господа, где можно приобрести трубку для контроля уровня электролита?
Корпус пластиковой ручки, прозрачной!
Таким способом добивается полуживой аккумулятор, в теории надо поднять плотность путем заряда но в большинстве случаев это невозможно т.к. произошла сульфатация и часть поверхности пластин оказалась нерабочая и как следствие упала плотность и ёмкость, на это указывает если в процессе зарядки напряжение возросло до нормы а плотность по прежнему недостаточна — дальнейший заряд не имеет смысла .Чтобы вернуть прежнюю емкость нужно растворить сульфат свинца, делается это так — после того как зарядка завершена сливаем электролит и заливаем дистиллированную воду и заряжаем малым током ~1А в течении суток, может больше, периодически контролируя плотность она должна медленно расти, это и есть та недостающая изначально плотность(т.к. кристаллический сульфат растворяется медленно в воде и не растворяется в электролите) . В идеале надо иметь прибор измеряющий внутреннее сопротивление АКБ и перечитывающий сопротивление в пусковой ток (он обычно указывается на АКБ например 500А(EN) чтоб контролировать процесс растворения . Например на АКБ указан 500А а прибор показывает 300А, через сутки 400А, через двое 480А ( прибор показывает даже без электролита) если дальше нет повышения -это предел для данного АКБ в следствии необратимого износа пластин, может потребоваться повторный слив и залив свежей воды. Далее по окончании процесса сливаем воду и заливаем свежий электролит 1.27 и пользуемся . Таким способом было восстановлено 2 из 3 АКБ, на умершем АКБ пусковой ток возрос максимум до 130А со 100А и нет смысла переводить на него электролит — сдаем в утиль .
Умники, которые пишут что доливать электролит нельзя, а вы в курсе что аккумуляторщик именно этим и занимается? Всё что написано в статье, только у него рука на этом набита и он знает сколько и чего, чтобы при полной зарядке была требуемая плотность, то есть он сделает это быстрее вас намного. Хотя вы вообще этого не делаете и другим не советуете, ну и выкидывайте дальше свои аккумуляторы…
Как только такое как описано сделал и АКБ на помойку, у нас тоже один такой есть .Эта инструкция для АКБ старого обрасца 80 х годов, а сейчас если малым током плотность не поднял значит на замену.Я свой 2 дня гонял на 2 А мпера и всё 1,27 поднялось и всё зиму забот не знаешь.И доливать только воду.
новый аккумулятор, простоявший 5 лет, имеет на сей день плотность 1.10 — мне долить дистиллированной воды и всё?)))плотность будет ещё меньше, и какой толк с этого аккумулятора будет? ))) надо корректировать, ибо толку от такого аккума не будет
Если процесс восстановления начнется при (заряд разряд) то плотность твоя вернется ближе к той что была на момент покупки АКБ. Очень важно понимать под какой регион был настроен АКБ какая плотность была изначально!)
samodelka-ru
Как только такое как описано сделал и АКБ на помойку, у нас тоже один такой есть .Эта инструкция для АКБ старого обрасца 80 х годов, а сейчас если малым током плотность не поднял значит на замену.Я свой 2 дня гонял на 2 А мпера и всё 1,27 поднялось и всё зиму забот не знаешь.И доливать только воду.
Это все хорошо тогда когда у тебя изначально в банках АКБ было 1,27. Но завод изготовитель хитрит чтобы продлить срок службы он делает электролит 1,25 и в пределы входит и срок службы подливает. А потом пишет если что не так так это для районов с мягкими климатическими условиями.
Так вот сколько не гоняй его выше он у тебя не станет а ты его на свалку не все так однозначно!
Была ситуация, купил новый mutlu 65 (как на фото), зарядил, проверил плотность -1.22. Думал ареометр врёт, аккум же новый. Ареометр не врал. Доливал электролит. Второй случай, на работе, покупали партию АКБ (одна партия), причём брэндовые, у одного вода вместо электролита! Чистая вода.
При мне в магазине авто запчастей, покупатель ругался с продавцом, требовал вернуть деньги и забрать обратно АКБ. Дело было в том что новая АКБ была севшая и на зарядку не реагировала!
Возможно еслиб заменили электролит, АКБ заработала! Как и в твоём случае.
Sergey5663
Была ситуация, купил новый mutlu 65 (как на фото), зарядил, проверил плотность -1.22. Думал ареометр врёт, аккум же новый. Ареометр не врал. Доливал электролит. Второй случай, на работе, покупали партию АКБ (одна партия), причём брэндовые, у одного вода вместо электролита! Чистая вода.
А я 2,5 года назад покупал 2 аккумулятора (оба Аком), один себе, второй отцу. Оба проверил ареометром, хотя они и вроде как новые были (по 3-4 месяца, если верить дате производства), плотность 1,27 — вроде хорошо, но после зарядки (БЕЗ какой-либо доливки чего-либо) плотность стала 1,31. И что характерно визуально через пробки видно было, что пластины в хорошем состоянии, шлама нет, электролит чистый прозрачный, хотя после зарядки цвет у них слегка изменился, более контрастными они стали, темные — темнее, светлые — более металлического цвета.
Прочитал с удовольствием+репост+в закладки!
"Но, поднимая плотность путем откачки и затем доливки кислоты" — Не кислота, а электролит! Это разные вещи.
"Так поступают только глупые и необразованные водители" — Это уже оскорбление.
"Плотность поднимается ТОЛЬКО ЗАРЯДОМ" — Да ладно? А если не подымается при заряде? Выкидывать АКБ?
"выкипает вода" — Да! А может влага из атмосферы "адсорбировать" в полость АКБ? Может.
"Кислоту ты налил, там без Б плотность сразу поднялась" — так это и требуется !
"НО это пагубно влияет на вашу АКБ" — А замерзший электролит положительно влияет на АКБ?
Каждый пытается высказать свою единственно верную точку зрения, я устал уже спорить с подобными умниками. Да и если заметно что товарищу за 35-40 лучше и не пытаться!) Спасибо за твои 5 копеек в мой б\ж!)
Мужики я конечно не хочу никого обидеть, ну большинство из Вас тут взрослые люди. Но, поднимая плотность путем откачки и затем доливки кислоты… Так поступают только глупые и необразованные водители, которые услышали это в ряду у таксистов (те то все знают). Если твой АКБ разрядился до плотности 1.10 (это элементарно не выключил фары или магнитолу на ночь или более), и в него после покупки не лазил никакой Алеха, и ничего туда не лил. Плотность поднимается ТОЛЬКО ЗАРЯДОМ. Соответственно АКБ 60АЧ следует заряжать током 6А, т.е током 10% от емкости. А если плотность как было описано выше 1.10 — это глубокий разряд, то сначала требуется ставить не 10% от емкости, а 5% — это на 3-4 часа, а затем 10%. И не слушайте граматеев которые твердят что нужно кислоту лить, выкипает вода, воду долил и на зарядку. Кислоту ты налил, там без Б плотность сразу поднялась, НО это пагубно влияет на вашу АКБ, т.е. со временем пластины начинают сыпаться, и когда проверяешь плостность, электролит имеет коричневый оттенок, то все можно его списывать. Удачи вам с вашими батарейками)))
Добрый день. Спасибо все доходчиво. Только вопрос про цвет. Автор статьи пишет, что коричневый (бурый) цвет это означает конец АКБ. У меня АКБ нет и года. Долил дист. воды, зарядил и электролит приобрел коричневый цвет в некоторых "банках" (правда заряжал 9 ч не 10%, а 5% (3 А 60 АЧ). Забыл переключить.
Другие же считают иначе
"…Необходимо выявить, какой цвет приобрел раствор. Если раствор имеет серый или бурый оттенок, батарею необходимо дозарядить. Как правило, такой цвет имеет электролит, в составе которого находятся нерастворенные кристаллы сульфатов, которые, при должной зарядке, полностью растворяются и цвет снова становится прозрачным.
Темный оттенок, переходящий в черный цвет обычно сигнализирует о том, что почти все намазки с пластин осыпались и попали в раствор. В таком случае АКБ подлежит замене."
kiarioinfo.ru/poleznoe/mu…olit-v-akkumulyatore.html
Можете пояснить.
Спасибо.
Да. Верно, если электролит приобрел коричневый цвет, (а видел такие, что буд-то туда колу налили), то морозы ему уже непережить. Если карман не пустой, то лучше заменить, потому что в один прекрасный момент подведет. Удачи
SAVLD
Мужики я конечно не хочу никого обидеть, ну большинство из Вас тут взрослые люди. Но, поднимая плотность путем откачки и затем доливки кислоты… Так поступают только глупые и необразованные водители, которые услышали это в ряду у таксистов (те то все знают). Если твой АКБ разрядился до плотности 1.10 (это элементарно не выключил фары или магнитолу на ночь или более), и в него после покупки не лазил никакой Алеха, и ничего туда не лил. Плотность поднимается ТОЛЬКО ЗАРЯДОМ. Соответственно АКБ 60АЧ следует заряжать током 6А, т.е током 10% от емкости. А если плотность как было описано выше 1.10 — это глубокий разряд, то сначала требуется ставить не 10% от емкости, а 5% — это на 3-4 часа, а затем 10%. И не слушайте граматеев которые твердят что нужно кислоту лить, выкипает вода, воду долил и на зарядку. Кислоту ты налил, там без Б плотность сразу поднялась, НО это пагубно влияет на вашу АКБ, т.е. со временем пластины начинают сыпаться, и когда проверяешь плостность, электролит имеет коричневый оттенок, то все можно его списывать. Удачи вам с вашими батарейками)))
Спасибо конечно за ваш комментарий, но вы подменяете понятия в связи с чем сами себя наделяете правом комментировать мою запись аргументируя при этом своё вмешательство моей глупостью. Я не рекомендовал откачивать электролит и доливать КИСЛОТУ. Ваши советы от счастья куда глупее моих, применение ваших рекомендаций только затянет рукоблудство с АКБ и не даст результата. Для тех кто в бронепоезде: я рекомендую электролит утративший свойства в следсвии бла, бла, бла… заменить на "живой" электролит, путём чего можно заставить поработать АКБ ещё пол года — год.
возможно я делаю не правильно. Для профилактики перед зимой, доливаю дистиллированную воду в уровень и на зарядку, почти на 10часов. так как считаю что испаряется только вода. Заряжаю инверторным зарядником
Ты все правильно делаешь. А если еще и плотность смотреть во время зарядки, вообще отлично. Чтобы не перезарядить, так сказать чтобы сульфатация не началась
Там внизу писал человек про АКБ хотел ему ответить но он комменты закрыл мне. Не ведитесь он видимо школьник).
1. Компания Yasa не производит АКБ 60B19L
2. компания Yasa специализируется на не обслуживаемых АКБ.
3. данный АКБ скорее всего вам не подойдёт так как емкость его 50 Ah(вывод сделан на основании продукции компании Панасоник "Аккумулятор Panasonic (50 А/ч) 60B19L/CAOS, Япония")
Долгой жизни Вашему авто)
P.S. комментарии приветствуются. Истина рождается в споре)
Немного из личного опыта. Дорогой АКБ не значит хороший.
Большинство АКБ до сих пор обслуживаемые (надписи на них коммерческий ход).
пример — компания пишет их АКБ работает 200% от обычного. считаем срок службы АКБ 5 лет.Их АКБ поидее служит 10 кто нить видел АКБ с гарантией 10 лет? сдаётся мне и не увидит)))
Интервал обслуживания АКБ раз в полгода(поправите пожалуйста если я спутал)
Вот вам 2 ярких примера по АКБ дедушка "Москвичевод" берёт себе в кое то весе АКБ совой обслуживал и служил он догие годы, но уже пора… Меряет в новом ёмкость как положено — а там как бы больше 1.3. ну для хранения то может и норм. А для использованиея плохо пришлось доливать воды. АКБ НОВЫЙ НА гарантии и хороший)
у меня сел АКБ на улице -15 вылил весь старый электролит в ванной =плотность 1/1 и залил корректирующий 1/40 плотность стала 1/3 поставил не заряжая завёл и поехал ===весной разбавлю водой до 1/25
Электролит мёртвый был выходит! А АКБ сколько ходит уже? Думаю лучше разбавить и по заряжать!
=Электролит мёртвый был выходит!= Мертвый электролит Карл! Мертвый электролит
у меня сел АКБ на улице -15 вылил весь старый электролит в ванной =плотность 1/1 и залил корректирующий 1/40 плотность стала 1/3 поставил не заряжая завёл и поехал ===весной разбавлю водой до 1/25
ну как пластины уже съело или ещё нет?)
Как ты догадался друган с этим акб фокус не прошёл зарядку 2 дня держит =надо менять
судя по написанному плотность должна быть большая и с большой вероятностью пластины начнёт разъедать.
я разбавил но это не плотности дело --надо было зарядить сначало а я поторопился
Зачем возвращаться в каменный век? Купите хороший аккум и он Вам прослужит 6-7 лет без всяких подзарядок и выравнивания плотности электролита.
1. Не факт.
2. Что значит хороший?
Это примерно как сравнивать качество ВАЗ и HONDA. У кого HONDA не было, тому этого просто не понять.
Что значит хороший по вашему? дорогой?
Я к примеру знаю мало примеров когда АКБ служит 6 -7 лет( Даже единицы.
С хондой Вы привели пример приведите же и с АКБ.
Yuasa 60B19L. На сегодняшний день в размере 19L цифра 60 однозначно рулит. Только производят их только PANASONIC, YUASA, BOSCH и ENEOS.
Но у Вас же нет авто! Нафига Вам все это нужно, мозги поклепать разве только?
on-link
Что значит хороший по вашему? дорогой?
Я к примеру знаю мало примеров когда АКБ служит 6 -7 лет( Даже единицы.
С хондой Вы привели пример приведите же и с АКБ.
я у себя менял акб, стояли обе заводские 06 года. менял в 02/2014.
после замены обе батареи отлично работают, это сколько получается лет?
без пары месяцев 5 лет будет. так я взял, похоже, подделку, а не оригинальный акб (я тогда был молод и глуп и повелся на то что мне навесили на уши)
kav1331
Это примерно как сравнивать качество ВАЗ и HONDA. У кого HONDA не было, тому этого просто не понять.
Дерьмо ваша Хонда
Только Honda!
Exide дерьмо!
А стоит немало как бы… Так что ценник не показатель
Приоры конечно шустрые на трассе но их я делаю со своими 1339 кубиками.
Не знаю че ты там делаешь! Я уезжаю от 5 литров, ибо турбо. А ты можешь дальше гонять на своей пукалке…
Джаз шикарный авто! В салОне тише чем в любой БМВ. Потому что шумку ЯПОНСКУЮ сделал.
Джах на редкость уродливый тачан…
Ога, чем в любом прям БМВ! В БМВ на скорости в 270 км ничего не слышно, можешь разговаривать даже не повышая голос. А эти свои сказочки о Хонде рассказывай пОцанам с района…
Чеши лапами! С тобой все ясно.
kav1331
Приоры конечно шустрые на трассе но их я делаю со своими 1339 кубиками.
Не знаю че ты там делаешь! Я уезжаю от 5 литров, ибо турбо. А ты можешь дальше гонять на своей пукалке…
Ну а я от 164 ML 3,5 не особо отстаю. 😊😊😊
Lindermann
Дерьмо ваша Хонда
Аааа, не смешите даже! Наверное немецкая отрыжка БМВ хорошая? Смешно! Они еще более конченые уже с рождения чем Мерседесы! Уж поверьте автоэлектрику по Мерседесам. Можете возражать сколько угодно.
Ну про Ладу просто промолчу.
Ахахах, смешной ты чувак…
Хорошо смется тот кто смется последним!
kav1331
Зачем возвращаться в каменный век? Купите хороший аккум и он Вам прослужит 6-7 лет без всяких подзарядок и выравнивания плотности электролита.
Хороший это какой? Я покупал Эксайд за многорублей — он тоже сдох…
Не тупи! Alphaline! Поумнеешь тоже такой возьмешь.
я делал так
Формула здесь www.avellinfo.ru/soderzha…-sajta/akkumulyatory/korr
Цитата "Ниже приведена формула, при использовании которой можно применять корректирующий электролит с плотностью, отличной от 1,40 г/см3."
Вопрос: где-же сама формула?
В любой инструкции по акб написано, что запрещается доливать электролит.
Практика показывает что в связи с эксплуатацией АКБ электролит теряет свои свойства, причины описал в комментарии выше! В связи с чем падает плотность, и вода тут вам не поможет, не дистиллированная не какая другая! И выхода два: либо повышать плотность корректирующим электролитом, а ещё лучше слить старый и залить новый, либо выбрасывать АКБ.
Восстановливается плотность продолжительным зарядом на малом токе 2-3 ампера. А доливая или полностью меняя электролит разрушаются пластины.
Если электролит распался по своему составу, зарядка толку не даст. Если только кратковременный эффект! Понятно что все эти приёмы дают результат если АКБ ещё живая, все меры приведённые в Б\Ж помогут если применяются вовремя!
pacha1993
Восстановливается плотность продолжительным зарядом на малом токе 2-3 ампера. А доливая или полностью меняя электролит разрушаются пластины.
с чего вы взяли, что если вылить электролит и залить электролит разрушаются пластины?
Хорошая статья, спасибо. Не уловил только суть. А именно: По идее из банки испаряется только вода. (Электролит может уходить в пластины). Если плотность стала повышенной — нужно долить воды. Зачем при этом удалять часть электролита то?
В процессе эксплуотации АКБ её ёмкость работает на половину, тоесть полный заряд это очень редкое явление, так же его загрязнение не добавляет ему качества. В связи с чем электролит теряет свои свойства, и заменить его максимально это не лишнее!
В основном часть электролита удаляется при пониженной плотности, чтобы больше вошло корректирующего электролита. Так как маленьким объёмом корректирующего электролита плотность до требуемой отметки поднять вряд ли получиться.
ни когда не советуй, то чего сам не знаешь…учи теорию, по работе с акб, а потом…
Учить теорию? Ты познай практику! Прежде чем комментарии комментировать изучи тему! Тут речь не стоит о том что в случае отсутствии плотности лить электролит! Я плохого тут не советовал, посмотри сколько положительных отзывов и лайков один ты возмущаешься, возмущайся у себя в Б\Ж и не …
С чем ты тут не согласен, думаешь тут все новые автомобили эксплуатируют а у кого б\у у тех 100% новые генераторы и сопутствующая электроника? Или длительная эксплуатация АКБ с пониженной зарядкой тебе не о чём не говорит? Это не чуть не лучше чем перезаряжать АКБ. Оставь свой телефон на зарядке на пару дней и замерь ёмкость батареи, нечем замерить, повтори два раза и без приборов увидишь!
Тоже такую корректировку купил! буду делать!
И прочитав статью решил вначале зарядить дома и измерить все ещё раз!
Вот, так будет вернее!)
Я либо смотрю не туда либо в тексте нет формулы. Имею плотность 1.2 хочу рассчитать требуемые объемы корректирующего электролита. АКБ 100 А*ч
Сначала попробуй зарядить током 10 А в течении 8 часов
Для этого нужен источник тока, а не блок питания КУЛОН. Прокипятил я его напряжением 15.5 Вольт и током 2.5А в Течении часов 9. Плотность почти добрал.
ну и как выкинул? умник. убил зачем то АКБ…
Умник почитал про аккумуляторы и осознал, что не нужно трогать кислотность и после серии эксgериментов и наблюдений понял, что аккумулятор AUTOSIL полное г. и не пережил и полутора лет после очередного включения лебедки. Имеет сильный сморазряд и нуждается в замене. Сдано сиё г-но в утиль в обмен с доплатой на нормальный Varta Silver Dynamic
14.5 максимальное напряжение так на будущее) А читать всегда полезно)
Этот комментарий вот щас к чему был?
к тому, что правильно, что читаешь… кучу херни пишут и найти суть слушая всех сложно. А про нарежение может пригодится и не только тебе) АКБ выходят из строя чаще всего не из-за плохого качества)
Потому и купил пускай дорогой, но с надеждой, что прослужит более 1.5 лет.
Жаль необслуживаемый, хотя может быть не будет из него вода испаряться с такой скоростью как в дешевых обслуживаемых.
75% того, что пишут необслуживаемый маркетинговый ход. сам не раз видел)))
перепроверь, сам.
последнее время производители стали уходить от необслуживаемых(вода испаряется против физики не попрёшь))))
Практически уверен был, что при следующей замене снова буду искать обслуживаемый.
on-link
14.5 максимальное напряжение так на будущее) А читать всегда полезно)
Для малосурьмянистых АКБ — максимальное. А вот для кальциевых — нет. Именно за счёт добавления кальция в пластины напряжение "закипания" АКБ возросло вольт до 16. И для кальциевых АКБ максимальное напряжение при зарядке — именно 16 Вольт.
вот ссылка на инструкцию по эксплуатации АКБ от производителя: www.akom.su/support/supports/intsruktiya/
Как вы сказали, читать всегда полезно)
Привет. А иногда в некоторых аккумуляторах СА СА приходится поднимать напряжение до 16.7 в. иначе он попросту не кипит и никакого перемешивания электролита не происходит, внизу батареи плотность 1.31 или больше
, а в вверху 1.22+-
on-link
14.5 максимальное напряжение так на будущее) А читать всегда полезно)
Это не так
Хорошо расписал, молодец! Вижу ты пробки отверткой откручиваешь. Тоже мучился отвёрткой пока в нете, увидел что откручивают монеткой, я попробовал и мне понравилось, шлицы на пробках целые и монетка всегда под рукой. Вот почитай avtoclub.net.ua/tehnika/3…lotnost-jelektrolita.html
Лопаткой для обуви, очень удобно!)
познавательно! спасибо
Не за что!)