
Доброго всем времени, привожу таблицу всех возможных кодов ошибок, какая неисправность и соответствующий неисправный участок. Сохраню для себя и для моих читателей.
КОДЫ ОШИБОК



























Расшифровка ошибки
P0101
массовой Воздушный поток цепи диапазоне / проблемы с производительностью
P0102
массового потока воздуха Неисправность цепи (низкий вход – Кор “04)
P0103
массового потока воздуха Неисправность цепи (High вход – Кор “04)
P0105
абсолютного давления в коллекторе / Атмосферное давление неисправности цепей / 31
P0106
Многообразие Абсолютная Проблема цепи давления / 31
P0110
температуры впускного воздуха (IAT) Неисправность цепи / 24
P0112
температуры впускного воздуха (IAT) цепи Низкий вход – Кор ’04
P0113
температуры впускного воздуха (IAT) цепи Высокая вход – Кор ’04
P0115
температуры охлаждающей жидкости неисправности цепей / 22
P0116
температуры охлаждающей жидкости цепи диапазоне / проблемы производительности (после двигатель работает не менее 20 минут, температура охлаждающей жидкости двигателя. сенсора составляет 86 ° F ака 30 ° C или менее)
P0117
температуры охлаждающей жидкости Низкий входной цепи
P0118
температуры охлаждающей жидкости высокой входной цепи
P0120
дроссельной / Датчик положения педали / Switch “” Неисправность цепи / 41
дроссельной / Датчик положения педали / Switch “” Range цепей / проблемы производительности / 41
дроссельной / Датчик положения педали / Switch “” Цепь Низкий вход – Кор ’04
дроссельной / Датчик положения педали / Switch “” Цепь высокого вход – Кор ’04
P0125
Недостаточная температура охлаждающей жидкости для закрытого цикла управления топлива
Неисправность термостата (температура охлаждающей жидкости ниже термостат регулирования температуры)
P0130
O2 датчика Неисправность цепи (Банк 1 Датчик 1) / 21
P0133
Цепь датчика O2 медленная реакция (Банк 1 Датчик 1)
P0134
Цепь датчика кислорода никакой деятельности Обнаруженные (Банк 1 Датчик 1) – Кор ’04
P0135
O2 датчика Неисправность цепи нагревателя (Банк 1 Датчик 1) / 21
P0136
O2 датчика Неисправность цепи (Банк 1 Датчик 2) / 27
P0139
Цепь датчика O2 медленная реакция (Банк 1 Датчик 2)
P0141
O2 датчика Неисправность цепи нагревателя (Банк 1 Датчик 2)
P0142
O2 датчика Неисправность цепи (Банк 1 Датчик 3)
P0147
O2 датчика Неисправность цепи нагревателя (Банк 1 Датчик 3)
P0150
O2 датчика Неисправность цепи (банк 2 Датчик 1) / 28
P0153
Цепь датчика O2 медленная реакция (банк 2 датчика 1)
P0155
O2 датчика Неисправность цепи нагревателя (банк 2 датчика 1) или датчика кислорода ток нагревателя Менее 0,25 ампер, или превышает 2 А или падение напряжения для нагревателя превышает 5 вольт ( Cam ).
P0156
O2 датчика Неисправность цепи (банк 2 датчик 2)
P0159
Цепь датчика O2 медленная реакция (банк 2 датчик 2)
P0161
O2 датчика Неисправность цепи нагревателя (банк 2 датчик 2) / 28
P0162
O2 датчика Неисправность цепи (банк 2 датчик 3
P0167
O2 датчика Неисправность цепи нагревателя (банк 2 датчик 3)
P0170
Неисправность топлива Trim
P0171
Система слишком бедная (Fuel Trim) (десятки автомобилей) / 25
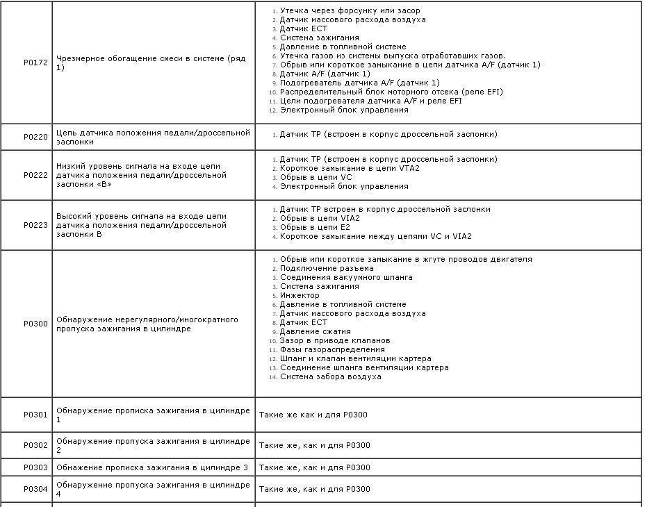
P0172
Система слишком богатая (Fuel Trim) / 26
P0174
Система слишком бедная (A / F Lean Неисправность, Bank2) / 25
P0175
Система слишком богатая (Bank2) 26
P0176
Датчик состава топлива Неисправность цепи
P0180
Датчик температуры топлива “Неисправность цепи”
P0190
топлива железнодорожным Датчик давления неисправности цепей / 49
P0191
топлива железнодорожным Датчик давления 15 цепи Range / Performance (Vist.) / 49
P0201
цилиндров № 1 постоянно осечки
P0202
цилиндра № 2 осечки Постоянно
P0203
цилиндра № 3 осечки Постоянно
P0204
цилиндра № 4 осечки Постоянно
цилиндра № 5 осечек Постоянно
P0206
цилиндра № 6 осечки Постоянно
P0300
Случайные / группа цилиндров Осечка Обнаруженные или пропуски зажигания из нескольких цилиндров в это же 200 – 1000 оборотов двигателя
P0301
Цилиндр 1 Осечка Обнаруженные
P0302
Цилиндр 2 Осечка Обнаруженные
P0303
Цилиндр 3 Осечка Обнаруженные
P0304
Цилиндр 4 Осечка Обнаруженные
P0305
Цилиндр 5 Осечка Обнаруженные
P0306
Цилиндр 6 Осечка Обнаруженные
P0307
Цилиндр 7 Осечка Обнаруженные
P0308
Цилиндр 8 Осечка Обнаруженные
P0309
Цилиндр 9 Осечка Обнаруженные
P0310
Цилиндр 10 Осечка Обнаруженные
P0311
Цилиндр 11 Осечка Обнаруженные
P0312
Цилиндр 12 Осечка Обнаруженные
P0325
Knock Sensor 1 Неисправность цепей / 52 (банк 1 или один датчик на Кор ’04)
P0327
Knock Sensor 1 Низкий входной цепи (Банк 1 или один датчик) – Кор ’04)
P0328
Knock Sensor 1 цепи высокого входного (Банк 1 или один датчик) – Кор ’04)
P0330
Knock Датчик 2 Неисправность цепи (Банк 2) / 55
P0335
Датчик положения коленчатого вала “” Неисправность цепи / 12 или 13 (?)
P0336
Датчик положения коленчатого вала “” Range цепей / производительность или отклонения в коленчатого и распределительного вала Сигналы датчика положения ( Cam ).
коленчатого вала Датчик положения “” Цепь Intermittet – Кор ’04
P0340
Датчик положения распредвала Неисправность цепи (март, Cam . Кор ’04) / 12
P0341
положения распределительного вала цепи датчика Range / Performance (Банк 1 или один датчик) – Кор ’04
P0351
Катушка зажигания “” первичный / вторичный контур – Кор ’04
P0352
Катушка зажигания “B” первичный / вторичный контур – Кор ’04
P0353
Катушка зажигания “C” первичный / вторичный контур – Кор ’04
P0354
Катушка зажигания “D” первичный / вторичный контур – Кор ’04
P0385
Датчик положения коленчатого вала “B” Неисправность цепи
P0400
Рециркуляция отработавших газов потока Неисправность
P0401
Рециркуляция отработавших газов потока Недостаточное обнаружены с прогрева двигателя и управляемых на уровне 50 миль в час в течение 3-5 минут, EGR газовый датчик стоимость которых не превышает температуры окружающего воздуха на 72 ° F ака 40 ° C (Cam.) / 71
P0402
Рециркуляция отработавших газов потока Чрезмерное Обнаруженные
P0403
Рециркуляция отработавших газов неисправности цепей / 71
P0410
вторичного воздуха Инфекция неисправности в системе
P0411
вторичного воздуха Система впрыска Неправильная потока обнаружен
P0412
Вторичная система Инфекция воздуха переключающий клапан “” Неисправность цепи
P0420
Catalyst эффективности системы ниже порога (Банк 1) – С прогрева двигателя и управляемых на 20-50 миль в час в течение 5 минут, Подогрев датчики кислорода имеют одинаковые волновые паттерны ( Cam ).
Catalyst эффективности системы ниже порога (Банк 2)
P0440
испарительные системы контроля за выбросами неисправности
P0441
выбросов в результате испарения Система управления потоком Неправильная чистка
P0442
выбросов в результате испарения системы управления Утечка Обнаруженные (Small Leak)
P0443
выбросов в результате испарения Control System Purge клапан Неисправность цепи
P0446
выбросов в результате испарения Система управления Vent управления Неисправность
P0450
выбросов в результате испарения Система управления Неисправность датчика давления
P0451
выбросов в результате испарения система управления Датчик давления Диапазон / производительность
P0452
выбросов в результате испарения система управления Датчик давления Низкий вход – Кор ’04
P0453
выбросов в результате испарения система управления Датчик давления Высокая вход – Кор ’04
P0456
выбросов в результате испарения системы управления Утечка Обнаруженные (Very Small Leak)
P0500
Скорость автомобиля неисправности датчика / 42 (Sensor “” на Кор ’04)
P0505
Idle Неисправность системы контроля или холостого хода значительно варьируется от скорости Целевая ECM
P0510
Неисправность закрытой дроссельной Положение переключателя
P0511
Idle Air Control Circuit – Кор ’04
P0550
Гидроусилитель руля Датчик давления Неисправность цепи или закрытого переключателя положения дроссельной заслонки не включается, когда транспортное средство движется
P0560
напряжение системы – Кор ’04
P0605
Модуль внутреннего управления Read Only Memory (ROM) ошибка
P0606
ECM / PCM Процессор
P0617
Цепь реле стартера High – Кор ’04
P0705
Передача Диапазон датчика Неисправность цепи (PRNDL Input) – Кор ’04
P0710
Передача температура жидкости цепи датчика неисправности
P0711
Передача жидкости Температура датчика цепи Диапазон / производительность
P0715
Входы / турбинный датчик скорости Неисправность цепи
P0724
тормозной переключатель “В” цепь High – Кор ’04
P0725
Частота вращения двигателя Входной Неисправность цепи
P0740
Неисправность ECU DХ
P0741
Totque Конвертер сцепления Электромагнитные Performance (Shift электромагнитный клапан SL) – Кор ’04
P0750
электромагнитного клапана переключения «А» (SL1) Неисправность или электромагнитного клапана переключения / B Неисправность
P0751
Сдвиг Магнит “” perfgormance (Shift электромагнитный клапан S1) – Кор ’04
P0753
Соленоид №1
электромагнитного клапана переключения «А» (SL1) Электрические неисправности
P0755
электромагнитного клапана переключения «В» (SL2) Неисправность или во время нормальной вождения, передача Обязательные По ЕСМ не Матч Фактические передач ( Cam ).
P0756
электромагнитного клапана переключения “B” perfgormance (Valve электромагнитного клапана переключения S2) – Кор ’04
P0758
Соленоид №2
электромагнитного клапана переключения «В» (SL2) Электрические неисправности
P0760
электромагнитного клапана переключения “С” Неисправность
P0763
электромагнитного клапана переключения “С” Электрические
P0765
электромагнитного клапана переключения «D» (S4 или клапан электромагнитного клапана переключения № 4) Неисправность
P0768
электромагнитного клапана переключения «D» (S4 или Shift, электромагнитный клапан № 4) Электрические
P0770
электромагнитного клапана переключения “Е” (Lock-Up Электромагнитные, которая также называется SL соленоид) Неисправность
P0773
Соленоид муфты блокировки гидротрансформатора
электромагнитного клапана переключения “Е” (Lock-Up соленоид) Электрические неисправности цепей
P0850
Парк / Нейтральная входной цепи Switch – Кор ’04
P0973
Сдвиг Магнит “” контроль Citcuit Низкий (Shift электромагнитный клапан S1) – Кор ’04
P0974
Сдвиг Магнит “” контроль Citcuit Высокая (Shift электромагнитный клапан S1) – Кор ’04
P0976
электромагнитного клапана переключения “B” контроль Citcuit Низкий (клапан электромагнитного клапана переключения S2) – Кор ’04
P0977
электромагнитного клапана переключения “B” контроль Citcuit Высокий (клапан электромагнитного клапана переключения S2) – Кор ’04
P1100
Атмосферное Пресс датчик неисправности
P1101
Атмосферное Пресс датчика цепи Диапазон / производительность
P1105
горения Пресс датчик неисправности
Положение педали акселератора датчик неисправности цепей / 19
P1121
педаль акселератора Датчик положения диапазоне / проблемы производительности / 19
P1125
управления дроссельной заслонкой двигателя Неисправность цепи / 89
P1126
Неисправность цепи магнитной муфты / 89
P1127
ETCS Привод Источник питания Неисправность цепей / 89
P1128
управления дроссельной заслонкой двигателя Блокировка Неисправность / 89
P1129
Электрическая управления дросселем Неисправность системы / 89
P1130
F цепи датчика Range / Performance Неисправность (Банк 1 Датчик 1)
P1133
F цепи датчика Ответ Неисправность (Банк 1 Датчик 1)
P1135
F датчика Неисправность цепи нагревателя (Банк 1 Датчик 1)
P1136
F датчика Неисправность цепи (Банк 1 Датчик 2)
P1139
F цепи датчика медленное реагирование (Банк 1 Датчик 2)
P1141
F датчика Неисправность цепи нагревателя (Банк 1 Датчик 2)
P1150
F цепи датчика Range / Performance Неисправность (банк 2 датчика 1)
P1153
F цепи датчика Ответ Неисправность (банк 2 датчика 1)
P1155
F датчика Неисправность цепи нагревателя (банк 2 датчика 1)
P1156
F датчика Неисправность цепи (банк 2 датчик 2)
P1159
F цепи датчика медленное реагирование (банк 2 датчик 2)
F датчика Неисправность цепи нагревателя (банк 2 датчик 2)
P1180
Датчик давления СПГ Неисправность цепи
P1185
Датчик температуры СПГ Неисправность цепи
P1190
Регулятор давления топлива Неисправность
P1200
топлива Реле насоса / ECU Неисправность цепи
P1205
Электрический воздушный насос Неисправность цепи.
P1210
управления инжектором давление выше ожидаемого уровня / 92
P1215
Неисправность цепи EDU (Ath.) / 97
P1220
управления Timer Неисправность цепи
Вентури(расходомер воздуха) управления Неисправность цепи
P1225
Spill Control Неисправность цепи
P1230
Датчик положения Вентури(расходомер воздуха) Неисправность
P1235
ТНВД Неисправность цепи или “Топливный насос управления вне диапазона” / 78
P1240
топлива запорный клапан Схема для доставки неисправности труб
P1245
топлива запорный клапан Схема для давления Неисправность регулятора
P1300
Неисправность цепи Igniter / 14
P1305
Igniter № 2 Неисправность цепи / 15
P1310
Igniter № 3 Неисправность цепи / 15
P1315
Igniter № 4 Неисправность цепи
P1320
Igniter № 5 Неисправность цепи
P1325
Igniter № 6 Неисправность цепи
P1330
Igniter № 7 Неисправность цепи
P1335
Датчик положения коленчатого вала (СКР) Неисправность цепи (Во время работы двигателя) (Vista, Camry) / 13
P1340
Igniter № 8 Неисправность цепи (1998-2000 Лэнд Крузер и 2000 Tundra)
P1345
VVT (изменения фаз газораспределения) Датчик / Circ распределительного вала Датчик положения.Неисправность (Банк 1)
P1349
Сигнал VVT
1. Клапан системы VVT
2. Проводка и разъемы 3. Электронный блок управления
P1346
Система VVT-i – фазы(изменения фаз газораспределения) Датчик / положения распределительного вала цепи датчика Range / Performance Задача (банк 1) / 18
P1349 VVT
(изменения фаз газораспределения) неисправности в системе (Банк 1) 22/59
P1350
VVT (изменения фаз газораспределения) Датчик / Circ распределительного вала Датчик положения.Неисправность (Bank2)
P1351
VVT (изменения фаз газораспределения) Датчик / положения распределительного вала цепи датчика диапазоне / проблемы с производительностью (Банк 2)
P1354
VVT (изменения фаз газораспределения) неисправности в системе (Банк 2)
P1357
выхлопных VVT датчик / Датчик положения распредвала Неисправность цепи (Банк 1)
P1358
Датчик выхлопных VVT / Датчик положения распредвала Неисправность цепи (Банк 2)
P1360
Датчик выхлопных VVT / Датчик положения распредвала Неисправность цепи (Банк 1)
P1365
выхлопных VVT датчик / Датчик положения распредвала Неисправность цепи (Банк 2)
P1400
Sub Датчик положения дроссельной заслонки Неисправность цепи
P1401
Sub Датчик положения дроссельной заслонки цепи диапазоне / проблемы с производительностью
P1405
Датчик давления Turbo Неисправность цепи
P1406
Turbo Давление цепи датчика диапазоне / проблемы с производительностью
P1410
EGR клапан Датчик положения Неисправность цепи
P1411
положения клапана рециркуляции отработавших газов цепи датчика диапазоне / проблемы с производительностью
P1415
воздушного насоса Неисправность цепи / (AIR) система Банка 1 / 58
P1416
Порт воздуха Неисправность цепи / (AIR) система Банка 2 / 58
P1420
Потребление Constrictor CTRL цепи Открыть или короткого
P1430
Вакуумный датчик для HC Адсорбетная и Catalyst (HCAC) Системные Неисправность цепи (ВН)
P1431
Вакуумный датчик для HC Адсорбетная и Catalyst (HCAC) Системные цепи диапазоне / проблемы с производительностью
P1436
Тойота-HCAC Система By-Pass Значение Impromevent-Open Неисправность (PRI)
P1437
Тойота-HCAC-System байпасный клапан, Закрыт, Неисправность
P1437
Неисправность вакуумной линии (ВН)
P1455
пара Сокращение топливного бака неисправности в системе
P1455
пара Сокращение система Топливный бак утечки обнаружено (небольшой утечке) (ВН)
P1500
Стартовый сигнал Неисправность цепи
P1505
Переключатель сигнала неисправности
давление наддува управления Неисправность
P1511
Низкое давление наддува Неисправность
Высокое давление наддува Неисправность
Неисправность системы Интер Cooler
P1520
Стоп Выключатель света Неисправность цепи (А / Т)
Неисправность цепи Resolver
Cruise Control Главная Неисправность цепи переключателя
P1566
Входной сигнал цепи Аномальные или круиз-контроля Главного Неисправность цепи переключателя
P1600
Неисправность ECM BATT
P1605
Knock Неисправность процессора управления
P1610
горения управления процессора Неисправность
P1620
ECT1 сигнала Неисправность цепи
P1625
ESA1 сигнала Неисправность цепи
P1626
ESA2 сигнала Неисправность цепи
P1627
ESA3 сигнала Неисправность цепи
P1630
Антипробуксовочная система Неисправность
P1633
Неисправность ECM (ETCS Circuit) и электронная система управления дроссельной заслонкой (ETCS) Контур ECM Неисправность
P1636
Неисправность ЭБУ HV
P1637
E (G?) STP сигнал неисправности (ESTP Сигнал неисправности – Pri)
P1645
Неисправность тела ЭКЮ
P1650
давления топлива до VSV Неисправность цепи
P1651
VSV Для ACIS Неисправность цепи
IACV управления Неисправность цепи
P1653
Неисправность цепи SCV / 58
P1654
Idle Up VSV Неисправность цепи
P1655
Idle Purge VSV Неисправность цепи
OCV (масло регулирующий клапан) Неисправность цепи (Банк 1) / 39
P1657
Purge Cut VSV Неисправность цепи
P1658
отход Задвижки управления Неисправность цепи
P1659
Супер зарядное управления Неисправность цепи
P1660
отбором воздуха Неисправность цепи управления
P1661
выхлопных газов, клапан управления Неисправность цепи
P1662
выхлопных перепускной клапан управления Неисправность цепи
P1663
OCV (масло регулирующий клапан) Неисправность цепи (Банк 2)
P1666
впуска воздуха управления VSV № 2 Неисправность цепи
P1667
Неисправность цепи TCV
P1668
VSV для AICV Неисправность цепи
P1690
OCV Для VVTL Неисправность цепи (Банк 1)
P1692
OCV за неисправности VVTL Open (банк 1)
P1693
OCV за неисправности Закрыть VVTL (Банк 1)
P1695
OCV Для VVTL Неисправность цепи (Банк 2)
P1697
OCV за неисправности VVTL Open (банк 2)
P1698
OCV Для VVTL Закрыть Неисправность (Банк 2)
P1700
Датчик скорости № 2 Неисправность
P1705
Датчик частоты вращения входного вала АКПП
НС2 (Прямая Датчик скорости сцепления) революции датчик неисправности цепей или прямого сцепления датчик скорости выходного составляет 300 RPM или менее с автомобиля на 20 миль в час или более и с Парк / нейтрального положения Отключить
P1710
Руководящий датчика Неисправность цепи
P1715
Заднее колесо датчика Неисправность цепи
постоянного сцепления принудительного выпуска Неисправность цепи
P1725
Датчик NT революции или входной турбины датчик скорости Неисправность цепи
NC революции датчик неисправности цепей или счетчик Механизма Скорость цепи датчика неисправности
P1735
правый передний датчик скорости Неисправность цепи
P1740
Левый фронт датчика скорости Неисправность цепи
P1745
трансмиссионной жидкости Датчик температуры № 2 Неисправность цепи
P1753
электромагнитного клапана переключения № 4 Неисправность цепи
P1755
Линейный электромагнитный для Lock Up Ctrl Circ. Неисправность
P1760
Линейный электромагнитный для линии контроля давления Неисправность цепи или Shift, электромагнитный клапан неисправности ТА или линейный электромагнитный для Lock-Up Неисправность цепи управления
P1765
Линейный электромагнитный 24 для аккумулятора Контроль давления Неисправность цепи (Shift электромагнитный клапан “SLN” неисправности) или прогрева двигателя, ток на Shift, электромагнитный клапан “SLN” составляет 0,2 Amp или менее в течение одной секунды с двигателем в 500 RPM или более, или с Парк / нейтрального положения Отключить
P1770
почтительным электромагнит блокировки № 1 Неисправность цепи
P1775
почтительным электромагнит блокировки № 2 Неисправность цепи
P1780
Парк / нейтрального положения (PNP) Switch неисправности (A / T только)
P1782
Передача L4 SW Неисправность цепи
P1783
Передача N SW Неисправность цепи
P1785
Авто сцепления неисправности в системе
P1790
Электромагнитный ST (Shift электромагнитный клапан ST) Неисправность цепи
P1793
электромагнитного клапана переключения ST Неисправность цепи
P1800
Автоматическая трансмиссия Операция Неисправность цепи
P1805
связи (между EFI ECU и передачи ECU) Неисправность цепи
P1810
связи для крутящего момента Неисправность цепи управления
P1820
НИН датчика Неисправность цепи
P1825
noaut датчика Неисправность цепи
P1845
ВОМ датчика Неисправность цепи
P1885
Неисправность цепи SLS
P1888
Неисправность цепи SLS
P1890
Неисправность цепи SLC
P1891
Неисправность цепи SLC
P1895
Неисправность цепи DSU
P2195
Сигнал датчика кислорода Штука Lean (Банк 1 Датчик 1) – Кор ’04
P2196
Сигнал датчика кислорода Штука Rich (Банк 1 Датчик 1) – Кор ’04
P2716
Контроль давления Магнит “D” Электрические (Shift электромагнитный клапан SLT) – Кор ’04
P2769
Гидротрансформатор сцепления Электромагнитные цепи низкого (Shift электромагнитный клапан SL) – Кор ’04
P2770
Гидротрансформатор сцепления Электромагнитные цепи Высокая (Shift электромагнитный клапан SL) – Кор ’04
HV батареи Неисправность
P3001
Аккумулятор 26 ЭКЮ неисправности
P3002
HV ECU неисправности связи
P3004
Неисправность кабеля питания
P3005
Высокое напряжение предохранителя отрезал [так в оригинале] 27
P3006
Аккумулятор SOC неровные 28
Утечка обнаружена 29 (электрические утечки от высоковольтных проводов)
P3010
Аккумулятор общая неисправность сопротивления
P3011
P3029
Аккумулятор для блока неисправности 30
P3030
Аккумулятор напряжением детективная линия
P3060
Аккумулятор температуры цепи датчика “неисправность”
P3076
Неправильный поток воздуха от батареи вентилятор охлаждения
P3077
Аккумулятор охлаждения двигателя вентилятора схема неисправности
P3100
Неисправность ЭБУ HV
P3101
Неисправность системы двигателя
Аккумулятор ЭКЮ связи Неисправность цепи
P3106
ECM связи Неисправность цепи
P3107
Подушка безопасности ECU связи Неисправность цепи
P3108
/ C Усилитель связи Неисправность цепи
P3109
32 Тормозные ЭКЮ связи Неисправность цепи
P3110
IGCT реле всегда замкнут
P3115
33 HV тока батареи неисправности датчика
P3115
Система Главная Неисправность реле
P3120
Неисправность HV сборе
P3125
34 конвертер и инвертора Ассамблеи Неисправность
P3130
Инвертор Система охлаждения Неисправность
P3135
выключатель датчик неисправности
P3140
Неисправность блокировки
P3145
Датчик скорости автомобиля Неисправность цепи.
Р2А00 Датчик состава смеси – Возможное местонеисправности (Разрыв или кор.замык. датчика состава смеси, датчик AFS, Нагреватель датчика AFS, Реле EFI M, цепь нагревателя датчика смеси, система подачи воздуха, давление топлива, форсунка, Соединение шланга системы вент картера, ЭБУ.
С2315 Неисправность высоковольтной части – Блоу управления гибридной установкой, выключатель режима”Р” трансмиссии, блок управления трансмиссией, проводка и разъемы.
Р0852 Замыкание на массу в цепи выключателя режима”Р” трансмисси – Проводка и разъемы, Выключатель режима “Р” трансмиссии, блок управления гибридной установкой.
С1241 Напряжение вспомогательной батареи не соответствует Номинальному.
В 1411 Обрыв или короткое замыкание цепи датчика температуры, окр воздуха – Датчик темп воздуха в салоне, жгут проводов или разъемы между датчиком темп воздуха и блоком упр кондиционера.
В 1421 обрыв или короткое замыкание цепи датчика солнечного света – Датчик солнечного света, жгут проводов или разъемы между датчиком солнечного света и блоком упр кондиционером, блок упр отопителем и кондиционером.
P3190 низкая мощность дыигателя. Возможное место неисправности – Ситнма подачи воздуха, Корпус ДЗ, Давление топлива, Двигатель, ДМРВ, Мало бензина, Датчик темпиратуры охл. жид, Датчик положения коленчатого вала, Датчик положения распред вала, ЭБУ.
Р0А0F -205 неправильный сигнал от блока управления, – блок управления двигателя, система впрыска топлива.
B1102 Низкое напряжение АКБ.цепь резервного питания на случай неисправности в цепи электропитания от аккумулятора.Коды ошибок Тойота.
Ошибка
#№
Расшифровка ошибки
P0101
массовой Воздушный поток цепи диапазоне / проблемы с производительностью
P0102
массового потока воздуха Неисправность цепи (низкий вход – Кор “04)
P0103
массового потока воздуха Неисправность цепи (High вход – Кор “04)
P0105
абсолютного давления в коллекторе / Атмосферное давление неисправности цепей / 31
P0106
Многообразие Абсолютная Проблема цепи давления / 31
P0110
температуры впускного воздуха (IAT) Неисправность цепи / 24
P0112
температуры впускного воздуха (IAT) цепи Низкий вход – Кор ’04
P0113
температуры впускного воздуха (IAT) цепи Высокая вход – Кор ’04
P0115
температуры охлаждающей жидкости неисправности цепей / 22
P0116
температуры охлаждающей жидкости цепи диапазоне / проблемы производительности (после двигатель работает не менее 20 минут, температура охлаждающей жидкости двигателя. сенсора составляет 86 ° F ака 30 ° C или менее)
P0117
температуры охлаждающей жидкости Низкий входной цепи
P0118
температуры охлаждающей жидкости высокой входной цепи
P0120
дроссельной / Датчик положения педали / Switch “” Неисправность цепи / 41
дроссельной / Датчик положения педали / Switch “” Range цепей / проблемы производительности / 41
дроссельной / Датчик положения педали / Switch “” Цепь Низкий вход – Кор ’04
дроссельной / Датчик положения педали / Switch “” Цепь высокого вход – Кор ’04
P0125
Недостаточная температура охлаждающей жидкости для закрытого цикла управления топлива
Неисправность термостата (температура охлаждающей жидкости ниже термостат регулирования температуры)
P0130
O2 датчика Неисправность цепи (Банк 1 Датчик 1) / 21
P0133
Цепь датчика O2 медленная реакция (Банк 1 Датчик 1)
P0134
Цепь датчика кислорода никакой деятельности Обнаруженные (Банк 1 Датчик 1) – Кор ’04
P0135
O2 датчика Неисправность цепи нагревателя (Банк 1 Датчик 1) / 21
P0136
O2 датчика Неисправность цепи (Банк 1 Датчик 2) / 27
P0139
Цепь датчика O2 медленная реакция (Банк 1 Датчик 2)
P0141
O2 датчика Неисправность цепи нагревателя (Банк 1 Датчик 2)
P0142
O2 датчика Неисправность цепи (Банк 1 Датчик 3)
P0147
O2 датчика Неисправность цепи нагревателя (Банк 1 Датчик 3)
P0150
O2 датчика Неисправность цепи (банк 2 Датчик 1) / 28
P0153
Цепь датчика O2 медленная реакция (банк 2 датчика 1)
P0155
O2 датчика Неисправность цепи нагревателя (банк 2 датчика 1) или датчика кислорода ток нагревателя Менее 0,25 ампер, или превышает 2 А или падение напряжения для нагревателя превышает 5 вольт ( Cam ).
P0156
O2 датчика Неисправность цепи (банк 2 датчик 2)
P0159
Цепь датчика O2 медленная реакция (банк 2 датчик 2)
P0161
O2 датчика Неисправность цепи нагревателя (банк 2 датчик 2) / 28
P0162
O2 датчика Неисправность цепи (банк 2 датчик 3
P0167
O2 датчика Неисправность цепи нагревателя (банк 2 датчик 3)
P0170
Неисправность топлива Trim
P0171
Система слишком бедная (Fuel Trim) (десятки автомобилей) / 25
P0172
Система слишком богатая (Fuel Trim) / 26
P0174
Система слишком бедная (A / F Lean Неисправность, Bank2) / 25
P0175
Система слишком богатая (Bank2) 26
P0176
Датчик состава топлива Неисправность цепи
P0180
Датчик температуры топлива “Неисправность цепи”
P0190
топлива железнодорожным Датчик давления неисправности цепей / 49
P0191
топлива железнодорожным Датчик давления 15 цепи Range / Performance (Vist.) / 49
P0201
цилиндров № 1 постоянно осечки
P0202
цилиндра № 2 осечки Постоянно
P0203
цилиндра № 3 осечки Постоянно
P0204
цилиндра № 4 осечки Постоянно
цилиндра № 5 осечек Постоянно
P0206
цилиндра № 6 осечки Постоянно
P0300
Случайные / группа цилиндров Осечка Обнаруженные или пропуски зажигания из нескольких цилиндров в это же 200 – 1000 оборотов двигателя
P0301
Цилиндр 1 Осечка Обнаруженные
P0302
Цилиндр 2 Осечка Обнаруженные
P0303
Цилиндр 3 Осечка Обнаруженные
P0304
Цилиндр 4 Осечка Обнаруженные
P0305
Цилиндр 5 Осечка Обнаруженные
P0306
Цилиндр 6 Осечка Обнаруженные
P0307
Цилиндр 7 Осечка Обнаруженные
P0308
Цилиндр 8 Осечка Обнаруженные
P0309
Цилиндр 9 Осечка Обнаруженные
P0310
Цилиндр 10 Осечка Обнаруженные
P0311
Цилиндр 11 Осечка Обнаруженные
P0312
Цилиндр 12 Осечка Обнаруженные
P0325
Knock Sensor 1 Неисправность цепей / 52 (банк 1 или один датчик на Кор ’04)
P0327
Knock Sensor 1 Низкий входной цепи (Банк 1 или один датчик) – Кор ’04)
P0328
Knock Sensor 1 цепи высокого входного (Банк 1 или один датчик) – Кор ’04)
P0330
Knock Датчик 2 Неисправность цепи (Банк 2) / 55
P0335
Датчик положения коленчатого вала “” Неисправность цепи / 12 или 13 (?)
P0336
Датчик положения коленчатого вала “” Range цепей / производительность или отклонения в коленчатого и распределительного вала Сигналы датчика положения ( Cam ).
коленчатого вала Датчик положения “” Цепь Intermittet – Кор ’04
P0340
Датчик положения распредвала Неисправность цепи (март, Cam . Кор ’04) / 12
P0341
положения распределительного вала цепи датчика Range / Performance (Банк 1 или один датчик) – Кор ’04
P0351
Катушка зажигания “” первичный / вторичный контур – Кор ’04
P0352
Катушка зажигания “B” первичный / вторичный контур – Кор ’04
P0353
Катушка зажигания “C” первичный / вторичный контур – Кор ’04
P0354
Катушка зажигания “D” первичный / вторичный контур – Кор ’04
P0385
Датчик положения коленчатого вала “B” Неисправность цепи
P0400
Рециркуляция отработавших газов потока Неисправность
P0401
Рециркуляция отработавших газов потока Недостаточное обнаружены с прогрева двигателя и управляемых на уровне 50 миль в час в течение 3-5 минут, EGR газовый датчик стоимость которых не превышает температуры окружающего воздуха на 72 ° F ака 40 ° C (Cam.) / 71
P0402
Рециркуляция отработавших газов потока Чрезмерное Обнаруженные
P0403
Рециркуляция отработавших газов неисправности цепей / 71
P0410
вторичного воздуха Инфекция неисправности в системе
P0411
вторичного воздуха Система впрыска Неправильная потока обнаружен
P0412
Вторичная система Инфекция воздуха переключающий клапан “” Неисправность цепи
P0420
Catalyst эффективности системы ниже порога (Банк 1) – С прогрева двигателя и управляемых на 20-50 миль в час в течение 5 минут, Подогрев датчики кислорода имеют одинаковые волновые паттерны ( Cam ).
Catalyst эффективности системы ниже порога (Банк 2)
P0440
испарительные системы контроля за выбросами неисправности
P0441
выбросов в результате испарения Система управления потоком Неправильная чистка
P0442
выбросов в результате испарения системы управления Утечка Обнаруженные (Small Leak)
P0443
выбросов в результате испарения Control System Purge клапан Неисправность цепи
P0446
выбросов в результате испарения Система управления Vent управления Неисправность
P0450
выбросов в результате испарения Система управления Неисправность датчика давления
P0451
выбросов в результате испарения система управления Датчик давления Диапазон / производительность
P0452
выбросов в результате испарения система управления Датчик давления Низкий вход – Кор ’04
P0453
выбросов в результате испарения система управления Датчик давления Высокая вход – Кор ’04
P0456
выбросов в результате испарения системы управления Утечка Обнаруженные (Very Small Leak)
P0500
Скорость автомобиля неисправности датчика / 42 (Sensor “” на Кор ’04)
P0505
Idle Неисправность системы контроля или холостого хода значительно варьируется от скорости Целевая ECM
P0510
Неисправность закрытой дроссельной Положение переключателя
P0511
Idle Air Control Circuit – Кор ’04
P0550
Гидроусилитель руля Датчик давления Неисправность цепи или закрытого переключателя положения дроссельной заслонки не включается, когда транспортное средство движется
P0560
напряжение системы – Кор ’04
P0605
Модуль внутреннего управления Read Only Memory (ROM) ошибка
P0606
ECM / PCM Процессор
P0617
Цепь реле стартера High – Кор ’04
P0705
Передача Диапазон датчика Неисправность цепи (PRNDL Input) – Кор ’04
P0710
Передача температура жидкости цепи датчика неисправности
P0711
Передача жидкости Температура датчика цепи Диапазон / производительность
P0715
Входы / турбинный датчик скорости Неисправность цепи
P0724
тормозной переключатель “В” цепь High – Кор ’04
P0725
Частота вращения двигателя Входной Неисправность цепи
P0740
Неисправность ECU DХ
P0741
Totque Конвертер сцепления Электромагнитные Performance (Shift электромагнитный клапан SL) – Кор ’04
P0750
электромагнитного клапана переключения «А» (SL1) Неисправность или электромагнитного клапана переключения / B Неисправность
P0751
Сдвиг Магнит “” perfgormance (Shift электромагнитный клапан S1) – Кор ’04
P0753
Соленоид №1
электромагнитного клапана переключения «А» (SL1) Электрические неисправности
P0755
электромагнитного клапана переключения «В» (SL2) Неисправность или во время нормальной вождения, передача Обязательные По ЕСМ не Матч Фактические передач ( Cam ).
P0756
электромагнитного клапана переключения “B” perfgormance (Valve электромагнитного клапана переключения S2) – Кор ’04
P0758
Соленоид №2
электромагнитного клапана переключения «В» (SL2) Электрические неисправности
P0760
электромагнитного клапана переключения “С” Неисправность
P0763
электромагнитного клапана переключения “С” Электрические
P0765
электромагнитного клапана переключения «D» (S4 или клапан электромагнитного клапана переключения № 4) Неисправность
P0768
электромагнитного клапана переключения «D» (S4 или Shift, электромагнитный клапан № 4) Электрические
P0770
электромагнитного клапана переключения “Е” (Lock-Up Электромагнитные, которая также называется SL соленоид) Неисправность
P0773
Соленоид муфты блокировки гидротрансформатора
электромагнитного клапана переключения “Е” (Lock-Up соленоид) Электрические неисправности цепей
P0850
Парк / Нейтральная входной цепи Switch – Кор ’04
P0973
Сдвиг Магнит “” контроль Citcuit Низкий (Shift электромагнитный клапан S1) – Кор ’04
P0974
Сдвиг Магнит “” контроль Citcuit Высокая (Shift электромагнитный клапан S1) – Кор ’04
P0976
электромагнитного клапана переключения “B” контроль Citcuit Низкий (клапан электромагнитного клапана переключения S2) – Кор ’04
P0977
электромагнитного клапана переключения “B” контроль Citcuit Высокий (клапан электромагнитного клапана переключения S2) – Кор ’04
P1100
Атмосферное Пресс датчик неисправности
P1101
Атмосферное Пресс датчика цепи Диапазон / производительность
P1105
горения Пресс датчик неисправности
Положение педали акселератора датчик неисправности цепей / 19
P1121
педаль акселератора Датчик положения диапазоне / проблемы производительности / 19
P1125
управления дроссельной заслонкой двигателя Неисправность цепи / 89
P1126
Неисправность цепи магнитной муфты / 89
P1127
ETCS Привод Источник питания Неисправность цепей / 89
P1128
управления дроссельной заслонкой двигателя Блокировка Неисправность / 89
P1129
Электрическая управления дросселем Неисправность системы / 89
P1130
F цепи датчика Range / Performance Неисправность (Банк 1 Датчик 1)
P1133
F цепи датчика Ответ Неисправность (Банк 1 Датчик 1)
P1135
F датчика Неисправность цепи нагревателя (Банк 1 Датчик 1)
P1136
F датчика Неисправность цепи (Банк 1 Датчик 2)
P1139
F цепи датчика медленное реагирование (Банк 1 Датчик 2)
P1141
F датчика Неисправность цепи нагревателя (Банк 1 Датчик 2)
P1150
F цепи датчика Range / Performance Неисправность (банк 2 датчика 1)
P1153
F цепи датчика Ответ Неисправность (банк 2 датчика 1)
P1155
F датчика Неисправность цепи нагревателя (банк 2 датчика 1)
P1156
F датчика Неисправность цепи (банк 2 датчик 2)
P1159
F цепи датчика медленное реагирование (банк 2 датчик 2)
F датчика Неисправность цепи нагревателя (банк 2 датчик 2)
P1180
Датчик давления СПГ Неисправность цепи
P1185
Датчик температуры СПГ Неисправность цепи
P1190
Регулятор давления топлива Неисправность
P1200
топлива Реле насоса / ECU Неисправность цепи
P1205
Электрический воздушный насос Неисправность цепи.
P1210
управления инжектором давление выше ожидаемого уровня / 92
P1215
Неисправность цепи EDU (Ath.) / 97
P1220
управления Timer Неисправность цепи
Вентури(расходомер воздуха) управления Неисправность цепи
P1225
Spill Control Неисправность цепи
P1230
Датчик положения Вентури(расходомер воздуха) Неисправность
P1235
ТНВД Неисправность цепи или “Топливный насос управления вне диапазона” / 78
P1240
топлива запорный клапан Схема для доставки неисправности труб
P1245
топлива запорный клапан Схема для давления Неисправность регулятора
P1300
Неисправность цепи Igniter / 14
P1305
Igniter № 2 Неисправность цепи / 15
P1310
Igniter № 3 Неисправность цепи / 15
P1315
Igniter № 4 Неисправность цепи
P1320
Igniter № 5 Неисправность цепи
P1325
Igniter № 6 Неисправность цепи
P1330
Igniter № 7 Неисправность цепи
P1335
Датчик положения коленчатого вала (СКР) Неисправность цепи (Во время работы двигателя) (Vista, Camry) / 13
P1340
Igniter № 8 Неисправность цепи (1998-2000 Лэнд Крузер и 2000 Tundra)
P1345
VVT (изменения фаз газораспределения) Датчик / Circ распределительного вала Датчик положения.Неисправность (Банк 1)
P1349
Сигнал VVT
1. Клапан системы VVT
2. Проводка и разъемы 3. Электронный блок управления
P1346
Система VVT-i – фазы(изменения фаз газораспределения) Датчик / положения распределительного вала цепи датчика Range / Performance Задача (банк 1) / 18
P1349 VVT
(изменения фаз газораспределения) неисправности в системе (Банк 1) 22/59
P1350
VVT (изменения фаз газораспределения) Датчик / Circ распределительного вала Датчик положения.Неисправность (Bank2)
P1351
VVT (изменения фаз газораспределения) Датчик / положения распределительного вала цепи датчика диапазоне / проблемы с производительностью (Банк 2)
P1354
VVT (изменения фаз газораспределения) неисправности в системе (Банк 2)
P1357
выхлопных VVT датчик / Датчик положения распредвала Неисправность цепи (Банк 1)
P1358
Датчик выхлопных VVT / Датчик положения распредвала Неисправность цепи (Банк 2)
P1360
Датчик выхлопных VVT / Датчик положения распредвала Неисправность цепи (Банк 1)
P1365
выхлопных VVT датчик / Датчик положения распредвала Неисправность цепи (Банк 2)
P1400
Sub Датчик положения дроссельной заслонки Неисправность цепи
P1401
Sub Датчик положения дроссельной заслонки цепи диапазоне / проблемы с производительностью
P1405
Датчик давления Turbo Неисправность цепи
P1406
Turbo Давление цепи датчика диапазоне / проблемы с производительностью
P1410
EGR клапан Датчик положения Неисправность цепи
P1411
положения клапана рециркуляции отработавших газов цепи датчика диапазоне / проблемы с производительностью
P1415
воздушного насоса Неисправность цепи / (AIR) система Банка 1 / 58
P1416
Порт воздуха Неисправность цепи / (AIR) система Банка 2 / 58
P1420
Потребление Constrictor CTRL цепи Открыть или короткого
P1430
Вакуумный датчик для HC Адсорбетная и Catalyst (HCAC) Системные Неисправность цепи (ВН)
P1431
Вакуумный датчик для HC Адсорбетная и Catalyst (HCAC) Системные цепи диапазоне / проблемы с производительностью
P1436
Тойота-HCAC Система By-Pass Значение Impromevent-Open Неисправность (PRI)
P1437
Тойота-HCAC-System байпасный клапан, Закрыт, Неисправность
P1437
Неисправность вакуумной линии (ВН)
P1455
пара Сокращение топливного бака неисправности в системе
P1455
пара Сокращение система Топливный бак утечки обнаружено (небольшой утечке) (ВН)
P1500
Стартовый сигнал Неисправность цепи
P1505
Переключатель сигнала неисправности
давление наддува управления Неисправность
P1511
Низкое давление наддува Неисправность
Высокое давление наддува Неисправность
Неисправность системы Интер Cooler
P1520
Стоп Выключатель света Неисправность цепи (А / Т)
Неисправность цепи Resolver
Cruise Control Главная Неисправность цепи переключателя
P1566
Входной сигнал цепи Аномальные или круиз-контроля Главного Неисправность цепи переключателя
P1600
Неисправность ECM BATT
P1605
Knock Неисправность процессора управления
P1610
горения управления процессора Неисправность
P1620
ECT1 сигнала Неисправность цепи
P1625
ESA1 сигнала Неисправность цепи
P1626
ESA2 сигнала Неисправность цепи
P1627
ESA3 сигнала Неисправность цепи
P1630
Антипробуксовочная система Неисправность
P1633
Неисправность ECM (ETCS Circuit) и электронная система управления дроссельной заслонкой (ETCS) Контур ECM Неисправность
P1636
Неисправность ЭБУ HV
P1637
E (G?) STP сигнал неисправности (ESTP Сигнал неисправности – Pri)
P1645
Неисправность тела ЭКЮ
P1650
давления топлива до VSV Неисправность цепи
P1651
VSV Для ACIS Неисправность цепи
IACV управления Неисправность цепи
P1653
Неисправность цепи SCV / 58
P1654
Idle Up VSV Неисправность цепи
P1655
Idle Purge VSV Неисправность цепи
OCV (масло регулирующий клапан) Неисправность цепи (Банк 1) / 39
P1657
Purge Cut VSV Неисправность цепи
P1658
отход Задвижки управления Неисправность цепи
P1659
Супер зарядное управления Неисправность цепи
P1660
отбором воздуха Неисправность цепи управления
P1661
выхлопных газов, клапан управления Неисправность цепи
P1662
выхлопных перепускной клапан управления Неисправность цепи
P1663
OCV (масло регулирующий клапан) Неисправность цепи (Банк 2)
P1666
впуска воздуха управления VSV № 2 Неисправность цепи
P1667
Неисправность цепи TCV
P1668
VSV для AICV Неисправность цепи
P1690
OCV Для VVTL Неисправность цепи (Банк 1)
P1692
OCV за неисправности VVTL Open (банк 1)
P1693
OCV за неисправности Закрыть VVTL (Банк 1)
P1695
OCV Для VVTL Неисправность цепи (Банк 2)
P1697
OCV за неисправности VVTL Open (банк 2)
P1698
OCV Для VVTL Закрыть Неисправность (Банк 2)
P1700
Датчик скорости № 2 Неисправность
P1705
Датчик частоты вращения входного вала АКПП
НС2 (Прямая Датчик скорости сцепления) революции датчик неисправности цепей или прямого сцепления датчик скорости выходного составляет 300 RPM или менее с автомобиля на 20 миль в час или более и с Парк / нейтрального положения Отключить
P1710
Руководящий датчика Неисправность цепи
P1715
Заднее колесо датчика Неисправность цепи
постоянного сцепления принудительного выпуска Неисправность цепи
P1725
Датчик NT революции или входной турбины датчик скорости Неисправность цепи
NC революции датчик неисправности цепей или счетчик Механизма Скорость цепи датчика неисправности
P1735
правый передний датчик скорости Неисправность цепи
P1740
Левый фронт датчика скорости Неисправность цепи
P1745
трансмиссионной жидкости Датчик температуры № 2 Неисправность цепи
P1753
электромагнитного клапана переключения № 4 Неисправность цепи
P1755
Линейный электромагнитный для Lock Up Ctrl Circ. Неисправность
P1760
Линейный электромагнитный для линии контроля давления Неисправность цепи или Shift, электромагнитный клапан неисправности ТА или линейный электромагнитный для Lock-Up Неисправность цепи управления
P1765
Линейный электромагнитный 24 для аккумулятора Контроль давления Неисправность цепи (Shift электромагнитный клапан “SLN” неисправности) или прогрева двигателя, ток на Shift, электромагнитный клапан “SLN” составляет 0,2 Amp или менее в течение одной секунды с двигателем в 500 RPM или более, или с Парк / нейтрального положения Отключить
P1770
почтительным электромагнит блокировки № 1 Неисправность цепи
P1775
почтительным электромагнит блокировки № 2 Неисправность цепи
P1780
Парк / нейтрального положения (PNP) Switch неисправности (A / T только)
P1782
Передача L4 SW Неисправность цепи
P1783
Передача N SW Неисправность цепи
P1785
Авто сцепления неисправности в системе
P1790
Электромагнитный ST (Shift электромагнитный клапан ST) Неисправность цепи
P1793
электромагнитного клапана переключения ST Неисправность цепи
P1800
Автоматическая трансмиссия Операция Неисправность цепи
P1805
связи (между EFI ECU и передачи ECU) Неисправность цепи
P1810
связи для крутящего момента Неисправность цепи управления
P1820
НИН датчика Неисправность цепи
P1825
noaut датчика Неисправность цепи
P1845
ВОМ датчика Неисправность цепи
P1885
Неисправность цепи SLS
P1888
Неисправность цепи SLS
P1890
Неисправность цепи SLC
P1891
Неисправность цепи SLC
P1895
Неисправность цепи DSU
P2195
Сигнал датчика кислорода Штука Lean (Банк 1 Датчик 1) – Кор ’04
P2196
Сигнал датчика кислорода Штука Rich (Банк 1 Датчик 1) – Кор ’04
P2716
Контроль давления Магнит “D” Электрические (Shift электромагнитный клапан SLT) – Кор ’04
P2769
Гидротрансформатор сцепления Электромагнитные цепи низкого (Shift электромагнитный клапан SL) – Кор ’04
P2770
Гидротрансформатор сцепления Электромагнитные цепи Высокая (Shift электромагнитный клапан SL) – Кор ’04
HV батареи Неисправность
P3001
Аккумулятор 26 ЭКЮ неисправности
P3002
HV ECU неисправности связи
P3004
Неисправность кабеля питания
P3005
Высокое напряжение предохранителя отрезал [так в оригинале] 27
P3006
Аккумулятор SOC неровные 28
Утечка обнаружена 29 (электрические утечки от высоковольтных проводов)
P3010
Аккумулятор общая неисправность сопротивления
P3011
P3029
Аккумулятор для блока неисправности 30
P3030
Аккумулятор напряжением детективная линия
P3060
Аккумулятор температуры цепи датчика “неисправность”
P3076
Неправильный поток воздуха от батареи вентилятор охлаждения
P3077
Аккумулятор охлаждения двигателя вентилятора схема неисправности
P3100
Неисправность ЭБУ HV
P3101
Неисправность системы двигателя
Аккумулятор ЭКЮ связи Неисправность цепи
P3106
ECM связи Неисправность цепи
P3107
Подушка безопасности ECU связи Неисправность цепи
P3108
/ C Усилитель связи Неисправность цепи
P3109
32 Тормозные ЭКЮ связи Неисправность цепи
P3110
IGCT реле всегда замкнут
P3115
33 HV тока батареи неисправности датчика
P3115
Система Главная Неисправность реле
P3120
Неисправность HV сборе
P3125
34 конвертер и инвертора Ассамблеи Неисправность
P3130
Инвертор Система охлаждения Неисправность
P3135
выключатель датчик неисправности
P3140
Неисправность блокировки
P3145
Датчик скорости автомобиля Неисправность цепи.
Р2А00 Датчик состава смеси – Возможное местонеисправности (Разрыв или кор.замык. датчика состава смеси, датчик AFS, Нагреватель датчика AFS, Реле EFI M, цепь нагревателя датчика смеси, система подачи воздуха, давление топлива, форсунка, Соединение шланга системы вент картера, ЭБУ.
С2315 Неисправность высоковольтной части – Блоу управления гибридной установкой, выключатель режима”Р” трансмиссии, блок управления трансмиссией, проводка и разъемы.
Р0852 Замыкание на массу в цепи выключателя режима”Р” трансмисси – Проводка и разъемы, Выключатель режима “Р” трансмиссии, блок управления гибридной установкой.
С1241 Напряжение вспомогательной батареи не соответствует Номинальному.
В 1411 Обрыв или короткое замыкание цепи датчика температуры, окр воздуха – Датчик темп воздуха в салоне, жгут проводов или разъемы между датчиком темп воздуха и блоком упр кондиционера.
В 1421 обрыв или короткое замыкание цепи датчика солнечного света – Датчик солнечного света, жгут проводов или разъемы между датчиком солнечного света и блоком упр кондиционером, блок упр отопителем и кондиционером.
P3190 низкая мощность дыигателя. Возможное место неисправности – Ситнма подачи воздуха, Корпус ДЗ, Давление топлива, Двигатель, ДМРВ, Мало бензина, Датчик темпиратуры охл. жид, Датчик положения коленчатого вала, Датчик положения распред вала, ЭБУ.
Р0А0F -205 неправильный сигнал от блока управления, – блок управления двигателя, система впрыска топлива.
B1102 Низкое напряжение АКБ. цепь резервного питания на случай неисправности в цепи электропитания от аккумулятора.
Если у кого есть другие коды или решение проблем, оставте для общих знаний информацию.





Комментарии 4
Зачем такой баян! Определ ошибку, загуглил или сразу в сканере показывает, что может означать.
Кому-то будет полезно однозначно. Но вреде приложения, работающие в паре со сканерами выдают код сразу с расшифровкой. У меня в Car Scanner точно с расшифровкой выдает.
В закладки, благодарю 🤝
Спасибо. Сразу в закладки