Без использования специальных инструментов владельцу СХ-5 можно самому посредством снятия показаний с датчиков произвести простую предварительную диагностику состояния своего каталитического нейтрализатора. Для этого потребуется только OBDII адаптер и немного знаний.
Немного знаний:
В СХ-5 установлено 2 катализатора — один сразу за выпускным коллектором (он называется WU-TWC, т.е. Warm-Up Three-Way Catalytic Converter — подогреваемый трехкомпонентный каталитический нейтрализатор), второй — в трубе выхлопа (TWC — трехкомпонентный каталитический нейтрализатор).


Как известно, каталитический нейтрализатор предназначен для нейтрализации (снижения содержания) вредных составляющих выхлопных газов. При обнаружении неисправности, связанной с катализатором, бортовой компьютер СХ-5 включает индикатор неисправности "Check Engine" и в память записывается код P0421:00 (Снижение эффективности системы катализатора ниже порога). Стирание ошибки (очистка памяти) помогает, но не надолго и индикатор впоследствии через некоторое время включается вновь. Разобраться в чём дело в этом случае поможет предварительная проверка исправности датчиков и достоверности их показаний.
В СХ-5 используется 2 датчика: Air Fuel Ratio (A/F) Sensor и Heated Oxygen Sensor (HO2S).
A/F датчик установлен до WU-TWC катализатора в выпускном коллекторе, ряд цилиндров 1, датчик 1. В сервисной документации этот датчик обозначается как Bank1 Sensor1. В программе он виден как PID: O2S11 (Forscan показывает его как O2S11_CUR). Данные выдает в миллиамперах (мА).

Второй датчик (кислородный датчик HO2S) установлен после WU-TWC катализатора (и перед вторым TWC-катализатором). В сервисной документации этот датчик обозначается как Bank1 Sensor2. В программе он виден как PID: O2S12 (Forscan показывает его как O2S12, VOLT). Данные выдает в вольтах.

Конечно, посредством OBDII в реалии концентрацию вредности выхлопа измерить невозможно, поэтому сравниваются только показания установленных датчиков O2 для оценки эффективности катализатора.
PCM ("мозг") автомобиля сравнивает показания датчика A/F и HO2S через определённые промежутки времени для определения инверсии в соотношении их показаний. Если отношение их показаний ниже спецификации, то система делает вывод, что каталитическая система ухудшилась.
Говоря простым языком, кислородный датчик, расположенный до катализатора ("передний", A/F) предназначен для проверки состава топливно-воздушной смеси и управления изменением состава смеси (богатая/бедная). По выходному напряжению датчика, который размещен после катализатора ("задний", HO2S), PCM автомобиля определяет качество (эффективность) нейтрализации выхлопных газов и обеспечивает дополнительную коррекцию состава смеси. PCM сравнивает показания этих датчиков и определяет состояние катализатора. Один датчик работает по выходному напряжению, другой — по току чувствительного элемента и оба они образуют замкнутый контур.
Датчик A/F сверяет с HO2S показания прерывисто, при следующих условиях:
— температура катализатора около 400С
— обороты двигателя 1100-3000 rpm
— нагрузка (PID: LOAD) 15-50% при оборотах двигателя 2000 rpm.
Именно при наступлении этих условий (если ранее был стёрт "Check Engine" с ошибкой P0421:00) и появляется вновь данная ошибка.
Появление значка неисправности "Check Engine" при ошибке P0421:00 указывает не обязательно только на неисправность катализатора. Перечень возможных причин этой неисправности:
— негерметичность выхлопной системы;
— неисправность датчика A/F и/или HO2S;
— ухудшение работы или неисправность катализатора.
Самостоятельно, с помощью OBDII адаптера, владелец СХ-5 может только убедиться в исправности датчиков, о чём, собственно, эта запись в БЖ.
Итак, проверяем исправность датчиков A/F и HO2S.
1. Запускаем двигатель и прогреваем до нормальной температуры.
2. Подключаем адаптер и в блоке PCM считываем показания (PID) скорости (VSS), оборотов (RPM), данные A/F датчика (PID: O2S11) и данные O2S12 датчика (PID: O2S12).
3. Проехать на автомобиле с ускорением и увеличением оборотов двигателя, отпуская педаль акселератора полностью, когда частота вращения двигателя достигнет 3000 оборотов в минуту или больше.
Показания датчика A/F (PID: O2S11) должны составлять 0,25 мА или более при замедлении, как показано на рисунке:

Показания датчика O2S12 (PID: O2S12) должны составлять 0,3 В или менее при замедлении, как показано рисунке:

Вот и всё, как видно из вышесказанного — ничего сложного. Имея эти знания и адаптер OBDII можно самостоятельно оценить исправность датчиков и приблизительное состояние катализатора (по отклонениям показаний датчиков).
Так же, за здоровьем катализатора даже ещё проще следить по его температуре (PID: CATEMP11). На ХХ его температура равна примерно 200-300°С, на скорости 60 км/час — примерно 600°С, на скорости 100 км/час — около 800°С, до 900°С и выше — лучше не доводить… Стоит сказать, что физически как такового датчика температуры в катализаторе нет, это чисто расчётная температура рассчитываемая по показаниям опосредованных датчиков.
Реакции нейтрализации в катализаторе начинаются при температуре примерно 250°С. Наиболее эффективно — в диапазоне температур от 400 до 800°С. При превышении температуры в 900°С происходит быстрое термическое старение и разрушение катализатора. Для того, чтобы разогреть катализатор до рабочей температуры как можно быстрее (для достижения уменьшения вредных выбросов) электронный блок управления двигателем уменьшает угол опережения зажигания, что приводит к получению более высоких температур отработавших газов. Эменно этим (а так же тем, что в СХ-5 катализатор расположен дальше ввиду особенностей конструкции выпускного коллектора) и объясняется пугающий многих владельцев СХ-5 довольно громкий "воющий" звук и работа на повышенных оборотах двигателя после пуска в течение первых примерно 20 секунд — это сделано для прогрева катализатора.
Вот как это объясняется в официальном бюллетене:


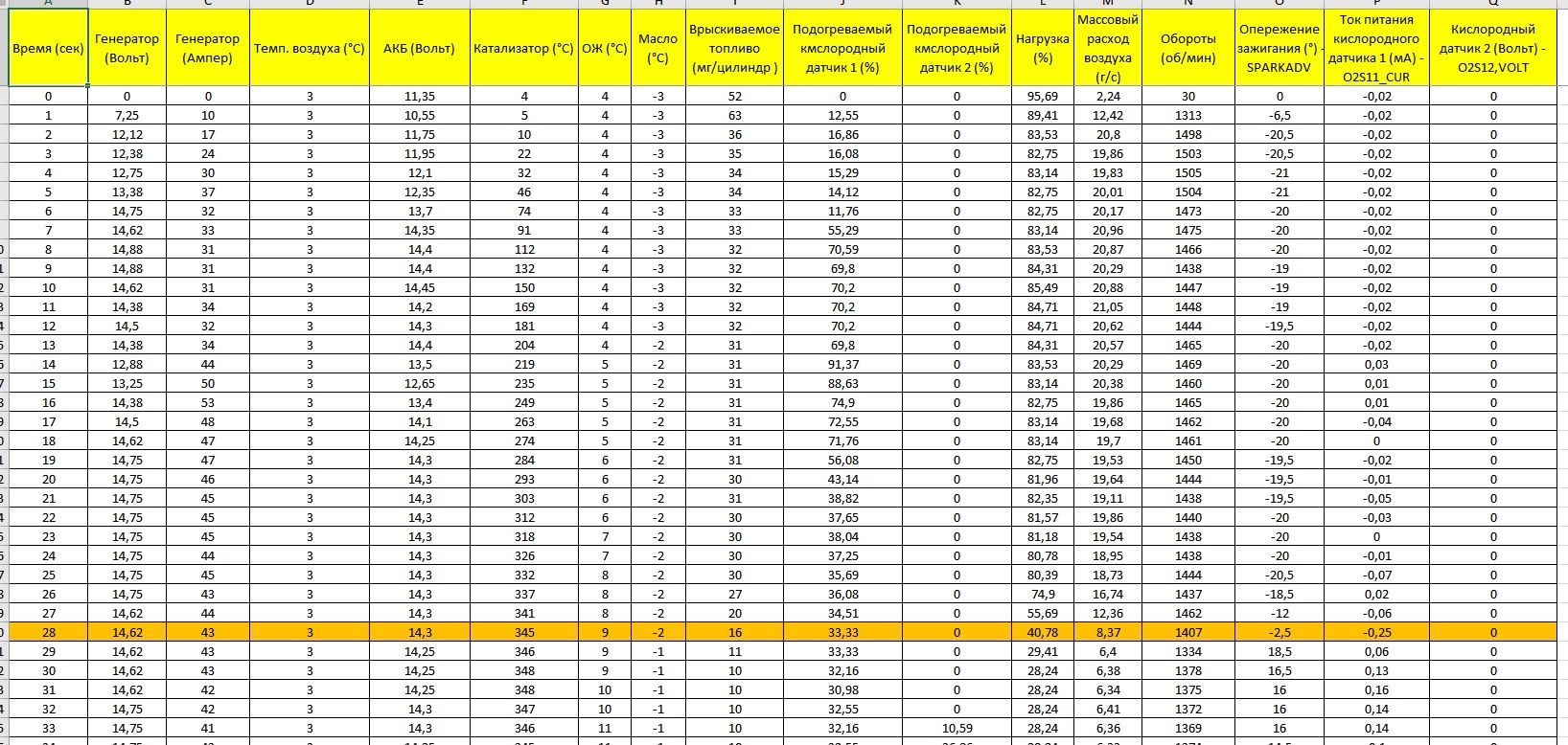
А вот как в реалии выглядят снятые мной данные адаптером и сведенные в таблицу:

Оранжевым цветом (на 28-й секунде) я выделил данные, когда первоначальные "прогревочные" после пуска двигателя обороты спали. Как видно, датчик O2S12 не включается в это время и начинает выдавать показания ещё спустя некоторое время.
БОНУС
Что еще интересного в сервисной документации по проверке исправности (по значениям PID)?
Нормальные показания некоторых PIDs в блоке PCM:
MAF (массовый расход воздуха)
— при включенном зажигании: 0.59 g/s (около 0,72 V)
— на ХХ (при прогретом двигателе): 2.17 g/s (около 0,86 V)
— в движении при оборотах 2000 об/мин: 4.73 g/s (около 1,07 V)
MAF V (массовый расход воздуха)
— при PID: MAF равной 1 g/s показание PID: MAF V должно быть около 0.8 V
— при PID: MAF равной 3 g/s показание PID: MAF V должно быть около 0.9 V
— при PID: MAF равной 10 g/s показание PID: MAF V должно быть около 1.4 V
MAP (датчик абсолютного давления)
— при включенном зажигании: 101 kPa (около 4.07 V)
— на ХХ (при прогретом двигателе): 33 kPa (около 1.34 V)
— в движении при оборотах 2000 об/мин: 26 kPa (около 1.05 V)
O2S11 (ток питания кислородного датчика)
— на ХХ (при прогретом двигателе): -39 µA
— в движении при отпускании педали газа после достижения 4000 об/мин: около 3.84 mA
O2S12 (напряжение кислородного датчика)
— на ХХ (при прогретом двигателе): 0—1.0 V
— в движении при отпускании педали газа после достижения 4000 об/мин: около 0 V
SHRTFT1
— на ХХ (при прогретом двигателе): около 1.56 %
— в движении при 2000 об/мин: около -3.12 %
— в движении при 4000 об/мин: около -8.59 %
LONGFT1
— на ХХ (при прогретом двигателе): около -2.34 %
— в движении на 2000 об/мин: около -0.78 %
— в движении на 4000 об/мин: около -0.78 %
TP REL (относительное положение дроссельной заслонки)
— педаль акселератора отпущена: около 12 %
— педаль акселератора нажата: около 82 %
FUEL_PRES (датчик давления топлива)
— при 3.0 MPa (по показаниям PID: FUEL P DSD): около 0.92 V
— при 4.8 MPa (по показаниям PID: FUEL P DSD): около 1.17 V
LOAD (нагрузка)
— на ХХ (при прогретом двигателе): около 16.07 %
— в движении на 2000 об/мин: около 14.51 %
— в движении на 4000 об/мин: около 21.17 %
APP (положение педали акселератора)
— педаль акселератора отпущена: около 0 %
— педаль акселератора нажата: около 100 %
APP1 (датчик 1 положения педали акселератора)
— педаль акселератора отпущена: около 16 % / 0.8 V
— педаль акселератора нажата: около 80 % / 4 V
APP2 (датчик 2 положения педали акселератора)
— педаль акселератора отпущена: около 8 % / 0.4 V
— педаль акселератора нажата: около 40 % / 2 V
ALTF (рабочий сигнал тока)
— при включеном зажигании: 0 %
— на ХХ: около 42 %
— в движении при 2000 об/мин: около 29 %
ALTT V (выходное напряжение генератора)
— на ХХ (без электрической нагрузки): около 14 V
ECT (температура охлаждающей жидкости)
— при PID: ECT равной 20 °C показание PID: ECT V должно быть около 3.10 V
— при PID: ECT равной 40 °C показание PID: ECT V должно быть около 2.16 V
— при PID: ECT равной 60 °C показание PID: ECT V должно быть около 1.40 V
— при PID: ECT равной 80 °C показание PID: ECT V должно быть около 0.87 V
— при PID: ECT равной 100 °C показание PID: ECT V должно быть около 0.54 V
IAT (температура поступающего воздуха)
— при PID: IAT равной 20 °C показание PID: IAT должно быть около 2.64 V
— при PID: IAT равной 40 °C показание PID: IAT должно быть около 1.80 V
— при PID: IAT равной 60 °C показание PID: IAT должно быть около 1.14 V
IAT2 (температура воздухозабора 2)
— при PID: IAT2 равной 20 °C показание PID: IAT2 должно быть около 3.60 V
— при PID: IAT2 равной 40 °C показание PID: IAT2 должно быть около 2.70 V
— при PID: IAT2 равной 60 °C показание PID: IAT2 должно быть около 1.90 V
OIL_P_SOL (электромагнитный клапан давления)
— при PID: ECT ниже 98 °C и оборотах двигателя меньше 4000 об/мин показание PID: OIL_P_SOL должно быть On
— при PID: ECT выше 98 °C или оборотах двигателя выше 4000 об/мин показание PID: OIL_P_SOL должно быть Off
ETC_ACT (фактическое состояние)
— при включенном зажигании и отпущенной педали акселератора: около 12.89 °
— при включенном зажигании и нажатой педали акселератора: около 86.03 °
— на ХХ (при прогретом двигателе) и отпущенной педали акселератора: около 3.2 °
FUELPW (ширина импульсов)
— на ХХ (при прогретом двигателе): около 1.4 ms
— в движении при 2000 об/мин: около 1.1 ms
— в движении при 4000 об/мин: около 1.0 ms
EVAPCP (рабочий цикл клапана выпуска)
— в движении на 2000 об/мин: 4.5—56 %
— в движении на 4000 об/мин: около 56 %
SPARKADV (опережение зажигания)
— на ХХ (при прогретом двигателе): около 14 °
BARO (барометрическое давление)
— при включенном зажигании около 4.08 V
Нормальные показания некоторых PIDs в блоке TCM:
OSS (частота вращения выходного вала)
— в движении при скорости 30 км/час на 3 передаче: 940 об/мин





Комментарии 46
Здравствуйте. Что такое Shrtf1? У меня в машине показатель 0%
Короткосрочная топливная коррекция
Отличная статья, хочу с ее помощью проверить есть ли у меня катализатор или он удален
Смущает факт достоверности показаний при таком их количестве, ведь есть время домтпа и у разных OBDII адаптеров оно разное, сможет ли такой объем показаний передаваться в реальном времени без лагов и задержек?
И самое главное, где бы раздобыть эталонные параметры как у вас в конце статьи из сервисной инструкции для Mazda 6 2.5 Turbo 2018, вот бы кто подсобил ;)
Я сделал проще, заехал в сервис по выхлопам. Вынули верхнюю "лямбду", сунули камеру и вуаля, керамика начала сыпаться. Удалили ее, пока не ушатала двигатель.
Пробег 140 тыс с преобладанием частых коротких поездок убил корейский кат.
слышал что корейские каты слабенькие, да и пробег солидный
Привет. У меня на ХХ, долговременная коррекция колеблется 5.25 — 7.05%, а когда газую 10 с лишним %. Форсунки мыл, на подсос воздуха проверил, нет нигде. Что еще смотреть?
Я не специалист из автосервиса, поэтому, к сожалению, Вам помочь не смогу.
Интересно, зачем второй датчик поставили перед вторым катализатором, а не после него? Ведь по идее оба катализатора предназначены для одного и того же — нейтрализация вредных газов, почему же тогда определение степени очистки вычисляется только по одному катализатору?
Наверное потому что более подвержен разрушению именно первый и следить нужно за ним.
Добрый день.
Спасибо за полезную информацию.
Не подскажите на сколько критичны отклонения у MAF?
на ХХ (при прогретом двигателе) у меня 1.89 г/с (около 0,85 V)
Так же MAP у меня колеблется около 29-30…
Это большие отклонения?
В статье приведены допустимые отклонения и даже даны офциальные документы — мне добавить просто нечего к уже сказанному. Если есть спорные нюансы — это лучше к профессионалам специализирующимся на этих нюансах.
Ок, спасибо
Bitstream
В статье приведены допустимые отклонения и даже даны офциальные документы — мне добавить просто нечего к уже сказанному. Если есть спорные нюансы — это лучше к профессионалам специализирующимся на этих нюансах.
А что вообще нужно для самостоятельной диагностики ошибок и прочего на мазде сх5 2018 года?
Без понятия, я не сервисмен.
Starmon
Добрый день.
Спасибо за полезную информацию.
Не подскажите на сколько критичны отклонения у MAF?
на ХХ (при прогретом двигателе) у меня 1.89 г/с (около 0,85 V)
Так же MAP у меня колеблется около 29-30…
Это большие отклонения?
Добрый день!подскажи по maf, у тебя сейчас какие значения?
Да примерно так же. Около 2г/с. Правда я недели 3 не смотрел, надо глянуть. Но думаю сильно не будет отличаться.
У меня cx5 вторая генерация, почему то maf показывает 1,8 и падает до 1,43
даже не представляю, почему так.
по идее большой разницы с 1 поколением быть не должно
Starmon
Да примерно так же. Около 2г/с. Правда я недели 3 не смотрел, надо глянуть. Но думаю сильно не будет отличаться.
Не могу понять в чем дело(( и что делать
В сотый раз перечитываю статью — полезная инфа собрана. Большое спасибо за проделанную работу!
Добрый день.
Скажите, если ошибка по каталику не горит, но уже чувствует, что то душит двигатель на низах, можно с помощью вашей статьи определить, накрывается ли каталик? Либо все после появления ошибки?
При превышении допустимых параметров — ошибка всё равно появится.
Проверил уже на всякий случай, все в норме у меня, спасибо. Двигаюсь дальше, т.к. есть проблемы на низах, но ошибок ни где нет.
В другом искать нужно. Например, АКПП.
Знать бы куда копать, когда ошибок нет.
exploit
Добрый день.
Скажите, если ошибка по каталику не горит, но уже чувствует, что то душит двигатель на низах, можно с помощью вашей статьи определить, накрывается ли каталик? Либо все после появления ошибки?
Добрый день! Вы нашли проблему, почему на низах пропадала тяга?
А через elm 327 такую диагностику можно провести?
А через что ещё? Конечно же через obd2 адаптер. Об этом в самом начале статьи написано…
Тестил сегодня машинку с буком — возник такой вопрос: температура поступающего воздуха должна равняться температуре забортного воздуха? У меня что то градусов на 10 больше показывает.
Впуск нагревается под капотом. Это нормально.
если чек погас сам, можно ли судить о нормализации работы катализатора или датчиков?
а сколько циклов должна повториться ошибка чтоб загорелся chek? и это количество должно быть за одну поездку или они суммируются?
Спасибо за инфу! и многие лета вашему катализатору!))) и всем другим системам жизнеобеспечения!
Я думаю владельцы сх-5 пока не сталкивались с проблемой катализатора, но сильно подробно как ты написал это вообще очень большой плюс! Красава!
Еще как сталкивались. Тут достаточно один раз залить в бак ослиную мочу и кирдык катализатору.
)))
Откуда картинки в статье, если не секрет? Мазду только начинаю осваивать.
из официального технического мануала СХ-5 для сервисов. он на англицком языке
В интернете где-то он есть или эксклюзив? Английский не проблема, себе положить хочу, очень задние воздуховоды хочется ну и так по мелочи :)
Последний раз видел на форуме www.mazdas247.com/forum/f…e3247d916d580dd6145722117
Уже нашел этот форум, но все равно спасибо! Поищу.
Спасибо, с интересом прочитал.
Однозначно в закладки. Спасибо за информацию.
Всегда пожалуйста, рад делиться полезной информацией.
Годно.
в закладки)))