Ну в общем то я конечно понимаю, что плагиат и популярность идут рука об руку. С одной стороны мне это конечно льстит, но с другой стороны я хочу предупредить вас, мои друзья, что мои базовые прошивки начинают утекать на право и налево.
Для примера хочу обратить ваше внимание на парочку nullptr и blackrussian1
blackrussian1 тёрся в моей закрытой группе почти год и я его удачно настроил. Но он, будучи товарищем очень занудным, продолжал ныть на тему, что бы ему навалили на низах. Напомню мы говорим о сток моторе и ещё в довесок без впуска. Проблем нет, сделал что в моих силах. Однако нытьё продолжалось и последний лог я получил 28/02/2016 всё на нём было пучком, я одобрил финальную прошивку и отпустил пастись на вольные хлеба.
3 дня спустя я получаю лог он него, с просьбой проверить ещё раз. в целом в нём не было никаких глобальных изменений, но он сознался в моей прошивке покопались некоторые умельцы и машина "повалила". Ну ладно баба с возу, кобыле легче. Но те, кто ещё и имеет наглость присваивать себе ту конскую часть работы сделанную мной по написанию всей прошивки, весьма меня напрягают. К слову теKт поста, а то мало ли потрут к завтрашнему дню)))

И на всяк случай скрин инбокса, что бы было ясно дата между моим финальным логом и его — умельцы за якобы 2 дня написали прошивку с нуля (у меня в лучшем раскладе уходит минимум неделя)

Не спорю отличия есть но базу свою я узнаю из 1000)
И так поехали по порядку, так как лирика закончилась теперь факты:
Жаль лоханулся удалил сообщения blackrussian1 в вайбере, где он известил меня, что они поковыряли мою прошивку
Особенно мне нравится цитата "Игорь настраивает тачки онлайном, и когда пошёл конкретный базар, сразу предупредил, что занятие предстоит геморроидально-порнографическое)"
я прямо представлю как они через час ковыряния наконец находят одну знакомую карту и начинают пища от радости её править)))
Финальная версия моей прошивки можно скачать тут: www.dropbox.com/s/inqj8uc…/Alex%20K04%20V4.ptm?dl=0
теперь по картам, прошивка как и скажем и картина, имеет чётко выраженную сигнатуру и тренды. У меня свои излюбленные приёмы которые мало кому известны. Если я посмотрю базу я сразу увижу моя или нет, ест там такие места куда не суются обычные смертные). Всё не буду перечислять из понятных соображений, но фирменный приёмчик — я это моя смесь, я всегда начинаю с 11.46-8 и заканчиваю 11.17-11.22.

A Консервы, на основе якобы которых была написана новая прошивка, имеют фиксированную смесь до отсечки)
Так как настройка по лоаду (чё эвоводы не слыхали про такое) то как я и ожидал попытки изменить скважность в моей прошивке ни к чему не привели ни к изменению лоада ни к изменению буста. Учите матчасть
ну скажите на милость зачем ставить 35 угол поворота муфты на низах. Во первых хоть и можно прописать в картах 35 муфта всё равно больше чем на 30 не повернётся, во вторых есть тонны постов включая и меня которые приводят море доводов на тему сток углов 30 которые слишком велики. в целом динамическая компрессия на низах растёт как на дрожжах (на ген2 кста в стоке мазда исправила эту оплошность)
Если же господин blackrussian1 соизволит поделится эксклюзивной прошивкой от nullptr, то сравнив с моей вы найдёте 90% совпадения. Однако что бы случаем не прислали какую нить левую консерву, проанализируем его логи с новой прошивкой от nullptr r относительно моих
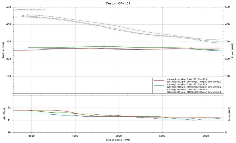
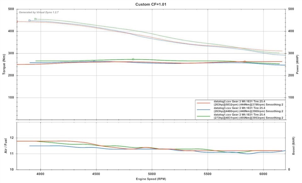
Далее просто для сравнения скрин лога моей прошивки против лога от nullptr
первая колонка моя и далее голубым от nullptr

полную версию можно скачать тут
www.dropbox.com/s/jexnp0f…7x7dd/comparison.xls?dl=0
а так же и оригиналы логов
www.dropbox.com/s/9iasski…blackrussinalogs.zip?dl=0
короче даж неопытный глаз может заметит что эти господа ковырнули тока муфту и углы. точнее я думаю они пытались и скважность, но компенсаторы скважности работают так что скважность автоматически понизится как тока попадёт в заданный лоад
Ну и наконец сравнивая график моего до:

и после того ка в нём покопались кривые ручонки:

только неадекватный человек может ими ещё хвастаться. Всем ночи доброй!
Пысы: удачи господам — с такими углами, углами муфты и выходом на буст на сток шатунах.
После трех просьб выложить свою прошивку для сравнения с моей, блокирую этих персонажей что бы личинки клали у себя в бортовиках. Поделится своей прошивкой это было бы первое что я сделал если бы получил подобную предъяву. Конечно в течении 3-4 дней можно обнаружить и скрыть все мои изменения в прошивке или написать кое как заново свою, поэтому моё предложение имело свой срок годности. А точнее 2-3 часа после последнего моего предложения поделиться своей






Комментарии 44
А откуда данный персонаж нарисовался? Шевролле Лачетти, Митсубиси…, он каким боком то настройщиком мпс стал?
Подло…
подло сидеть больше года у нас в группе а потом такое выкидывать. я не блокирую прошивки из принципа но не стоило так нагло присвaивать. мой пост это реакция не на плагиат, а на наглостъ.
Как уже было сказано ниже, тебя знают Лев, этого вполне достаточно. Учти, такое будет повторяться, это норма. Умный человек не будет докручивать дальше, так как понятно что ты делаешь по максимуму в каждой отдельной конфигурации. Это чревато…
LevL
подло сидеть больше года у нас в группе а потом такое выкидывать. я не блокирую прошивки из принципа но не стоило так нагло присвaивать. мой пост это реакция не на плагиат, а на наглостъ.
Надо лочить — обязательно! Ты имеешь дело с русскими!
Действительно Лев, с этим нужно бороться ! Предлагаю шить только не русских )) Ахаха
Лев, возможно стоить обменяться черными списками "мудаков" и проблем у участников рынка станет в разы меньше?
А то смотрю, сюжетные линии и герои то пересекаются ))) Ты обращайся, если что — поделимся )))
я тож думаю что наш герой не только в моём случае так поступил, наверняка подход у него одинаков даже когда хлеб приобретает
Про "чё эвоводы" поржал)
Нда… Лёв, релаксируй! Ты все сказал, тебя знают, ценят и уважают! Если кто-то захочет настроится он обратится к нам, тем кого ты уже настроил. Лично я могу тебя рекомендовать, т.к. уверен в конечном результате.
Ну я в целом предотвращаю появление очередного псевдонастройщика. За чистоту крови так сказать переживаю
Забей.
У МПС такой мотор, который сам отлично ведет отбор настройщиков. Стоит чуть лохануться и полезут шатуны. Доказанно не на одном МПС.
Ахахаха)))
Естественный отбор называется:D
Приколисты
Насколько я понял ( даже если это действительно твоя прошивка у них), то ты настроил человека и отпустил его на вольные хлеба, взяв с него нную сумму за работу? Если так, то какие могут быть к хозяину претензии? Прошивка не залочена, он ее у тебя купил, волен делать с ней все, что угодно, кроме перепродажи… Что тебя не устроило то в его действиях?
Дзмао, так ему все равно на это, автора злит сама суть того, что его прошивку чуток подправленную выдают за якобы с нуля созданную которая на порядок круче… дело в том, что настройщикам эво и сти много чего не известно про мпс… это тоже самое что Лев сейчас начнет настраивать субару и митсу…
факт остается фактом… если реально тип изменил прошивку чуток и кричит что он создал ее с нуля, то это неправильно. а хозяин тачки походу реально не сталкивался с кулаком дружбы и потом после сего происшествия будет очень не рад)))
Здесь читал, не видел подобных утверждений. Они еще где-то обсуждают свою прошивку?
georg1970
Насколько я понял ( даже если это действительно твоя прошивка у них), то ты настроил человека и отпустил его на вольные хлеба, взяв с него нную сумму за работу? Если так, то какие могут быть к хозяину претензии? Прошивка не залочена, он ее у тебя купил, волен делать с ней все, что угодно, кроме перепродажи… Что тебя не устроило то в его действиях?
Меня в полне все устроило бы… Если бы её не выдавали за свою. Я если узнаю что меняют мои прошивке в принципе не против, но предупреждаю что я ответственности не несу, да бы не винили если мотор ляжет. Как я и упомянул меня не парит факт коррекции, как "те, кто ещё и имеет наглость присваивать себе ту конскую часть работы сделанную мной по написанию всей прошивки"
Или ты считаешь что изменив пару значений в чужой прошивки можно выдать её за целиком свою)?! Что бы он не гундел насчёт лоада, буста и смеси они в пределах разброса значений при одних и тех же скомандованных значениях. Ни лямбда, ни мап не будут показывать одни и теже результаты из лога в лог, всегда есть флюктуации по 2-3%.
Если бы меня обвинили в подобном, я бы сразу же выложил свою прошивку для оправдания. Здесь я три раза попросил, в ответ тока нытьё. Один был заблокирован за мат, второй за отказ предоставить прошивку. А разводить демагогию потому что у нас смесь отличается на 0.01 я не буду
а где прошивку выдают за свою? Я здесь не увидел ничего подобного.
хорошо написано. Можешь как барик вести свой блог, в котором рассказываешь особенности настройки, чтения логов, опасности той или иной настройки )
он по железу, ты по настройке — залайкают! )))
Комментарий удалён
Ты сам же выложил 2 разных лога, где нет ни одного сходства, и закатил истерику.
Кто из нас клоун — вопрос )
Выходит что плагиатчики навалили буста "снизу" на нераскрученный мотор? Здесь и дилетанту понятно, что это излишняя нагрузка на ШПГ. Сдается мне, придет время и восторги хозяина сменятся на проклятия в тот же адрес.
Все как раз на оборот ) ты логи то читать умеешь? )
Пора завязывать читать посты одним глазом) Увидел скачок момента и богатую смесь, а оцифровка осей пролетела мимо )
Да тут похоже все одним глазом читают )
DTector
Выходит что плагиатчики навалили буста "снизу" на нераскрученный мотор? Здесь и дилетанту понятно, что это излишняя нагрузка на ШПГ. Сдается мне, придет время и восторги хозяина сменятся на проклятия в тот же адрес.
угол зажигания и муфту довернули, на остальном спасибо логике мазды стоит "защита". т.е. пока не поменять лоад в нескольих картах скважность бесполезно поднимать. эбу видит лоад и подстраивает под него скважность и буст. можно тока напортачить и вызвать передув. т.е. например возьми лог этого персонажа и построй график наддува, там будет пик а не плато. а про углы ввт много где написано
и тут www.mazdaspeedforums.org/…um/f418/vvt-tables-60909/
и тут вот у меня подробно www.drive2.ru/l/1981465/
и кстати да это на моторе со сток впуском которы на сколько затычен что у него вакуум межды фильтром и турбиной наверное выше чем в коллекторе
Ты прекращай истерить, иначе разговор не интересный выходит.
Все верно, load выставлен специально для этих целей, чтобы не было передува.
LevL
угол зажигания и муфту довернули, на остальном спасибо логике мазды стоит "защита". т.е. пока не поменять лоад в нескольих картах скважность бесполезно поднимать. эбу видит лоад и подстраивает под него скважность и буст. можно тока напортачить и вызвать передув. т.е. например возьми лог этого персонажа и построй график наддува, там будет пик а не плато. а про углы ввт много где написано
и тут www.mazdaspeedforums.org/…um/f418/vvt-tables-60909/
и тут вот у меня подробно www.drive2.ru/l/1981465/
и кстати да это на моторе со сток впуском которы на сколько затычен что у него вакуум межды фильтром и турбиной наверное выше чем в коллекторе
Не в защиту кого-либо: "Так как настройка по лоаду (чё эвоводы не слыхали про такое)"
Вообще то у эво такая же логика в настройке буста как раз по лоаду;)
Ну в таком случае не понятно почему лоад и буст оставили такой же как у меня. Для меня факт это то что тот персонаж заблокировал большую часть тех кто задавал ему правильные вопросы по нюансам карт и отказался шарить свою прошивку. Это на мой взгляд единственное что могло опровергнуть мой пост )
35 муфта всё равно больше чем на 30 не повернётся
А судя по логу поворачивается )
По поводу сходства:
Vti другой
AFR другой
УОЗ другой
Load другой
Boost другой
Это по логу что ты выложил, где 90% сходства?
с такими углами, углами муфты и выходом на буст на сток шатунах.
Смотрим буст: у тебя 21 у меня 19
у тебя 19 у меня 17.
На какой прошивке быстрее согнуться штатные шатуны? вопрос :)
Смотрим УОЗ:
у тебя 8 у мнея 6
у тебя 10.5 у меня 10
Вопрос тот же )
Со смесью абсолютно такая же картина )
блин жалею что Алекса сообщение удалил вместе с его контактом. Он там признавался
что мою поковыряли. Но в целом бумеранг прилетит
Не трогал никто твою прошивку, я логи то твои в первый раз здесь увидел.
Да ты главное буста еще ему навали, а потом с шатуном в блоке будет не важно чья пршивка взята за основу.
P.s. шью мпски, обращайтесь, попрет мама не горюй!
Ты лог посмотри, у меня буста МЕНЬШЕ и УОЗ тоже МЕНЬШЕ и смесь БОГАЧЕ
LevL
блин жалею что Алекса сообщение удалил вместе с его контактом. Он там признавался
что мою поковыряли. Но в целом бумеранг прилетит
www.drive2.ru/l/9148497/ Алекс зато не удалил
Че мне лог смотреть, я тут себя рекламирую:)
www.drive2.ru/l/9148497/ Алекс зато не удалил
давай ка свою прошивку финальную в студию и уже сравним те карты в которых мои уникальные значения. ну или у вас есть ночь что бы перерыть всё в моей прошивке и найти что и где я менял), "поупражнялись" в моём понятии как раз на моей прошивке. было бы написно с нуля так и написал). хватит моё время тратить пость прошивку лучше, a то за своим неадекватным клиентом в бан отправишься. меня читают и те люди которые очень хорошо знакомы с моими картами и коббом так что я отойду в сторону дам им проанализировать две прошивки
Ты за свои слова отвечаешь? По логам покажи мне хотя бы один одинаковый параметр?
понятно бан. кстати ты моих ребят тоже всех забанил когда тебе правильные вопросы стали задавать
Теперь я понимаю почему ты начал с осторожностью выбирать тех кому шить машины ))
По теме, не все ведь понимают разумную настройку. Для некоторых важнее чтоб машина "валила", чем стабильная и безопасная работа мотора. Такой подход напомнил мне наших владельцев турбо-приор ))
да можно уйти от тазов но тазы от тебя никога
Когда котят тычат мордой в ссаки, они всё понимают и учатся ходить на лоток.
А взрослый уличный кот который привык срать и ссать где попало, если его ткнуть в его же говно, он начинает, ссать в тапки.
Ну некоторые котята тож упёртые)
Мудро!