Запчасти
Двигатель
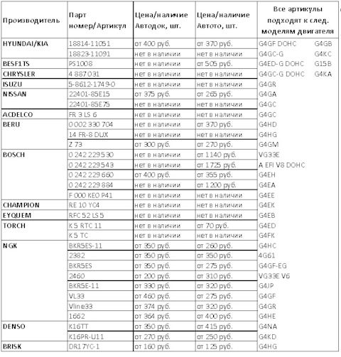
Характеристики детали



- Производитель
- KIA HYUNDAI
- Артикул
- G4KD
- Название
- Двигатель
- Фотографии
- 50 фото
- Упоминания в блогах
- 875 записей
- Оригинальная продукция Прямые контракты с производителями
- В наличии на все марки авто 1,5 млн наименований запчастей
- По всей России 145 городов с магазинами и складами
Где купить
Фотографии
50
Упоминания в блогах 876
KIA Cerato Koup (1G)
Hyundai Solaris (1G)
Hyundai Santa Fe (2G)
Hyundai Sonata V (NF)
Hyundai Sonata V (NF)